Решение уравнений
Гришина Надежда Дмитриевна
21.02.2023.
Тест. Математика, 9 класс
Тест содержит 20 несложных уравнений базового уровня.
Система оценки:
5 балльная
Список вопросов теста
Вопрос 1
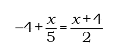
Решить уравнение:

Вопрос 2
Решить уравнение:

Вопрос 3
Решить уравнение:

Вопрос 4
Решить уравнение:

Вопрос 5
Решить уравнение:

Вопрос 6
Решите уравнение, в ответе укажите меньший из корней.

Вопрос 7

Решите уравнение, в ответе укажите меньший из корней.
Вопрос 8
Решите уравнение, в ответе укажите меньший из корней.
Вопрос 9

Решите уравнение, в ответе укажите больший из корней.
Вопрос 10

Решите уравнение, в ответе укажите меньший из корней.
Вопрос 11

Решите уравнение, в ответе укажите больший из корней.
Вопрос 12

Решите уравнение, в ответе укажите меньший из корней.
Вопрос 13

Вопрос 14

Вопрос 15

Вопрос 16

Вопрос 17

Решите уравнение, в ответе укажите меньший из корней.
Вопрос 18

Решите уравнение, в ответе укажите больший из корней.
Вопрос 19

Решите уравнение, в ответе укажите меньший из корней.
Получите комплекты видеоуроков + онлайн версии
Пройти тест
Сохранить у себя:
Тесты по математике 9 класс
0
244
Нравится
0


