Решение уравнений
Список вопросов теста
Вопрос 1
Выберите верные утверждения:
Варианты ответов
- Корни уравнения изменятся, если какое-нибудь слагаемое перенести из одной части уравнения в другую, изменив при этом его знак.
- Корни уравнения не изменяются, если обе части уравнения умножить или разделить на одно и то же число.
- Корни уравнения изменятся, если обе части уравнения умножить или разделить на одно и то же число.
- Корни уравнения не изменяются, если какое-нибудь слагаемое перенести из одной части уравнения в другую, изменив при этом его знак.
- Чтобы решить уравнение, содержащее подобные слагаемые нужно: 1) слагаемые, содержащие переменную, перенести в левую часть уравнения, а числа - в его правую часть, не забывая при переносе менять знаки на противоположные; 2) привести подобные слагаемые в левой и правой частях уравнения; 3) разделить число в правой части на коэффициент при переменной.
Вопрос 2
Какие из следующих записей являются уравнениями:
Варианты ответов
-
52 = 25
- 9а - 7
- х - 10 = 15
- у < 4
- 2а - 3 = 5а + 10
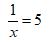
Вопрос 3
Решите уравнение:
\(\frac{1}{3}x=6\)
В ответ введите корень уравнения числом. Например: 10
Вопрос 4
Решите уравнение: 3х + 4 = 19. В ответ запишите корень уравнения числом. Например: 7
Вопрос 5
Решите уравнение: 7х = 2х + 10. Какое число является корнем данного уравнения.
Варианты ответов
- 2
- 10
- 7
- 19
- это уравнение не имеет корней.
Вопрос 6
Решите уравнение: 5х - 3 = 3х + 5. В ответ запишите корень данного уравнения числом. Например: 9
Вопрос 7
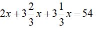
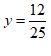
Решите уравнение:
В ответ запишите корень уравнения числом. Например: 7
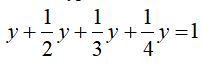
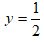
Вопрос 8
Решите уравнение:
Варианты ответов
- у = 1
-
-
-
-
у = 0
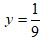
Вопрос 9
Решите уравнение
Корень уравнения запишите десятичной дробью, отделяя целую и добную части запятой. Например: 1,7
Вопрос 10
У Насти и Оли одинаковая сумма денег. Настя купила на все деньги 3 тетради и блокнот за 26 рублей, а Оля - 1 тетрадь и ручку за 30 рублей. Сколько стоит одна тетрадь? В ответ запишите только число. Например: 7


