Решение систем неравенств
Автор скрыт
03.04.2020.
Тест. Математика, 9 класс
Будьте внимательны! У Вас есть 10 минут на прохождение теста. Система оценивания - 5 балльная. Разбалловка теста - 3,4,5 баллов, в зависимости от сложности вопроса. Порядок заданий и вариантов ответов в тесте случайный. С допущенными ошибками и верными ответами можно будет ознакомиться после прохождения теста. Удачи!
Система оценки:
5 балльная
Список вопросов теста
Вопрос 1
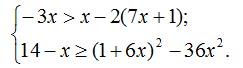
Выберите промежуток, который является решением системы:

Варианты ответов
Вопрос 2
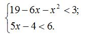
Укажите правую границу промежутка, который является решением системы:

Вопрос 3
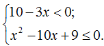
Выберите те целые числа, которые являются решениями системы:

Варианты ответов
- -2
- -1
- 0
- 1
- 2
Вопрос 4
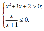
Сколько натуральных чисел являются решением системы?

Вопрос 5
Укажите наибольшее целое решение системы:

В ответ введите только число. Например: 12
Отрицательное число вводите без пробелов, используя дефиc. Например: -12
Вопрос 6
Укажите систему уравнений, решением которой будет промежуток (-1;0].
Варианты ответов
Вопрос 7
Выберите те натуральные числа, которые являются решениями системы:

Варианты ответов
- -2
- -1
- 0
- 1
- 2
Вопрос 8
Сколько решений имеет система неравенств:

Варианты ответов
- 0
- 1
- бесконечно много
- решений нет
Вопрос 9
Укажите промежуток, который является решением двойного неравенства:
-2<1-5z<=1.5
Варианты ответов
- (-0,1; 0,6]
- [-0,1; 0,6)
- [-0,6; -0,1)
- (-0,6; 0,1]
Вопрос 10
Выберите промежутки, которые являются решением системы неравенств:

Варианты ответов
- (-3; -2)
- (-2; 0)
- (0; 3)
- (3; 5)
Получите комплекты видеоуроков + онлайн версии
Пройти тест
Сохранить у себя:
Тесты по математике 9 класс
0
732
Нравится
0









