Решение систем линейных уравнений
Список вопросов теста
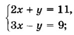
Вопрос 1

Варианты ответов
- 2х = 12
- 2х = 2
- 2х + 2у = 12
- 2х + 2у = 2
Вопрос 2

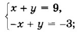
Если пара (х; у) является решением данной системы, то значение суммы х и у равно
Варианты ответов
- 3
- 4
- 7
- 12
Вопрос 3

Варианты ответов
- сложить уравнения системы
- второе уравнение умножить на ( - 2)
- вычесть уравнения системы
- второе уравнение умножить на ( - 1)
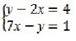
Вопрос 4

Если пара (х; у) является решением данной системы, то значение произведения ху равно
Варианты ответов
- 18
- 6
- 3
- 12
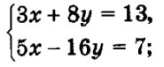
Вопрос 5

Варианты ответов
- (3; 0,5)
- (1,5; 0,5)
- (0,5; 1)
- (2; 0,5)
Вопрос 6

Какое преобразование необходимо выполнить, чтобы можно было решить эту систему способом сложения?
Варианты ответов
- В левой части первого уравнения первое и второе слагаемые переставить местами
- второе уравнение умножить на (-1)
- первое уравнение умножить на (-1)
- первое уравнение умножить на (-7)
Вопрос 7

Варианты ответов
- (1; 4)
- (4; 1)
- (4; 2)
- (2; 4)
Вопрос 8
Даны два уравнения 2х - 3у + 5 = 0 и 3у - 2х = 5. Составить из них систему. Решением системы будет
Варианты ответов
- (1; -1)
- система не имеет решения
- (- 1; 1)
- система имеет бесконечно много решений
Вопрос 9
Даны три уравнения: 1) 11х - у - 17 = 0, 2) х + 11у - 65 = 0, 3) 7х + у - 1 = 0. Из каких двух уравнений можно составить систему, чтобы её можно было сразу начать решать способом сложения?
Варианты ответов
- 1) и 3)
- 2) и 3)
- 1) и 2)
Вопрос 10

Варианты ответов
-
первое уравнение умножили на два и получили 6х + 16у = 26
-
сложили два полученных уравнения системы и получили 11х = 33
-
нашли значение х = 3
-
подставили х = 3 в первое уравнение данной системы 9 + 8у = 13
-
решили полученное уравнение и нашли значение у = 0,5
-
Ответ: (3; 0,5)


