Решение неравенств
Список вопросов теста
Вопрос 1
Какие из чисел являются решениями неравенства
2x > 5
Варианты ответов
- 2,6
- 1050
- 2,5
- - 2,5
- 0
Вопрос 2
Решите неравенство 5х ≤ - 3.
Ответ вводить в виде неравенства, клавиатура английская, без пробелов. Если нужно записать х>3, так и пишем х>3.
Если нужно записать х≥3, то пишем х>=3. Если х≤-5, то
х<=-5
Вопрос 3
Решите неравенство - 5(4 - x) < 2x - 2
Ответ вводить в виде неравенства, клавиатура английская, без пробелов. Если нужно записать х>3, так и пишем х>3.
Если нужно записать х≥3, то пишем х>=3. Если х≤-5, то
х<=-5
Вопрос 4

Ответ вводить в виде неравенства, клавиатура английская, без пробелов. Если нужно записать х>3, так и пишем х>3.
Если нужно записать х≥3, то пишем х>=3. Если х≤-5, то
х<=-5
Вопрос 5
Укажите множество решений неравенства - 3(2 - 2х) > 5x + 1

Варианты ответов
- 1
- 2
- 3
- 4
Вопрос 6
При каких значениях х значение выражения 8х + 2 больше
значения выражения 10х - 1?
Варианты ответов
- при х = 1,5
- при х > 1,5
- при x < 1,5
- при x ≤ 1,5
- при x ≥ 1,5
Вопрос 7
При каких значениях х значение выражения
2(x - 1,5) + 3(2x - 1) положительно?
Варианты ответов
- при х = 0,75
- при х > 0,75
- при x < 0,75
- при x ≤ 0,75
- при x ≥ 0,75
Вопрос 8
Решить неравенство 6х ≤ 8х + 1
Ответ вводить в виде неравенства, клавиатура английская, без пробелов. Если нужно записать х>3, так и пишем х>3.
Если нужно записать х≥3, то пишем х>=3. Если х≤-5, то
х<=-5
Вопрос 9
Решить неравенство 3(2 + x) > 4 - x
Ответ вводить в виде неравенства, клавиатура английская, без пробелов. Если нужно записать х>3, так и пишем х>3.
Если нужно записать х≥3, то пишем х>=3. Если х≤-5, то
х<=-5
Вопрос 10
Решить неравенство 3(1 - x) + 2(2 - 2x) > 0
Ответ вводить в виде неравенства, клавиатура английская, без пробелов. Если нужно записать х>3, так и пишем х>3.
Если нужно записать х≥3, то пишем х>=3. Если х≤-5, то
х<=-5
Вопрос 11
Решить неравенство x2 - (x + 3)(x - 3) < 3x
Ответ вводить в виде неравенства, клавиатура английская, без пробелов. Если нужно записать х>3, так и пишем х>3.
Если нужно записать х≥3, то пишем х>=3. Если х≤-5, то
х<=-5
Вопрос 12
На каком рисунке изображено множество решений неравенства
2 + x ≤ 5x - 8

Варианты ответов
- 1
- 2
- 3
- 4
Вопрос 13
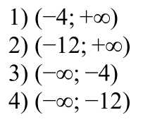
Решите неравенство 4x - 4 ≥ 9x + 6. В ответе укажите номер правильного варианта.

Варианты ответов
- 1
- 2
- 3
- 4
Вопрос 14
Решите неравенство 9x - 4(2x + 1) > - 8. В ответе укажите номер правильного варианта.

Варианты ответов
- 1
- 2
- 3
- 4
Вопрос 15
Решите неравенство 22 - x > 5 - 4(x - 2). В ответе укажите номер правильного варианта.

Варианты ответов
- 1
- 2
- 3
- 4


