Решение неравенств
Гришина Надежда Дмитриевна
26.02.2023.
Тест. Алгебра, 9 класс
Тест содержит 15 заданий базового уровня по решению неравенств
Система оценки:
5 балльная
Список вопросов теста
Вопрос 1
Выберите номер верного варианта ответа

Вопрос 2
Выберите номер верного варианта ответа

Вопрос 3
Выберите номер верного варианта ответа

Вопрос 4
Выберите номер верного варианта ответа

Вопрос 5
Выберите номер верного варианта ответа

Вопрос 6
Выберите номер верного варианта ответа

Вопрос 7
Выберите номер верного варианта ответа

Вопрос 8
Выберите номер верного варианта ответа

Вопрос 9
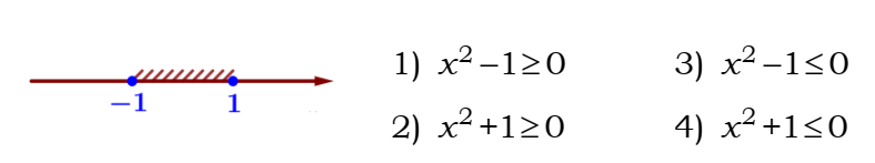
Укажите неравенство решение которого изображено на рисунке

Вопрос 10
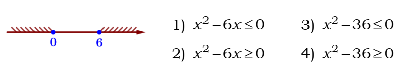
Укажите неравенство решение которого изображено на рисунке

Вопрос 11
Выберите верный ответ:

Вопрос 12
Выберите верный ответ:

Вопрос 13
Укажите неравенство, которое не имеет решения.
Вопрос 14
Укажите неравенство решением которого является любое число.

Вопрос 15
Укажите неравенство, которое не имеет решения.
Получите комплекты видеоуроков + онлайн версии
Пройти тест
Сохранить у себя:
Тесты по алгебре 9 класс
0
409
Нравится
0


