Решение линейных уравнений
Королев Александр Евгеньевич
16.09.2018.
Тест. Алгебра, 7 класс
Нужно решить задание и выбрать правильный вариант ответа.
Система оценки:
5 балльная
Список вопросов теста
Вопрос 1
Решить уравнение: 0,2(7 - 2y) = 2,3 - 0,3(y-6).
Варианты ответов
- -0,27
- -27
- 0,27
- 27
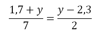
Вопрос 2
Решить уравнение:

Варианты ответов
- 3,9
- -3,9
- 39
- -39
Вопрос 3
Решить уравнение: |3x + 1,5| = 7,5
Варианты ответов
- -3; -2
- -2; 3
- -3; 2
- 2; 3
Вопрос 4
Решить задачу:
Первый рабочий собирает шкаф за 30 мин, второй рабочий потратит на сбор шкафа в 1,5 раза меньше времени. Найдите за сколько они соберут шкаф работая вместе?
Варианты ответов
- 25 минут
- 12 минут
- 50 минут
- 10 минут
Получите комплекты видеоуроков + онлайн версии
Пройти тест
Сохранить у себя:
Тесты по алгебре 7 класс
0
1230
Нравится
0


