Решение линейных уравнений
Платонова Мария
22.01.2020.
Тест. Математика, 9 класс
Для этого теста установлено временное ограничение — 25 мин
Ответы на тест будут автоматически сохранены и отправлены по окончании отведенного времени.
Для этого теста разрешено выполнение нескольких попыток
Система оценки:
5 балльная
Список вопросов теста
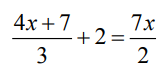
Вопрос 1

Варианты ответов
- 5
- -5
- -2
- 0,5
- -0,5
Вопрос 2

Вопрос 3

Вопрос 4

Вопрос 5

Вопрос 6

Вопрос 7

Вопрос 8

Вопрос 9

Вопрос 10

Вопрос 11

Вопрос 12

Получите комплекты видеоуроков + онлайн версии
Пройти тест
Сохранить у себя:
Тесты по математике 9 класс
0
358
Нравится
0


