Разминка на урок №1
Келенчук Анастасия Филипповна
01.04.2020.
Тест. Алгебра, 8 класс
Выполните тест! С допущенными ошибками и верными ответами можно будет ознакомиться после прохождения теста.
Система оценки:
5* балльная
Список вопросов теста
Вопрос 1
Найдите значение корня и запишите ответ:

Вопрос 2
Вычислите и запишите ответ в виде десятичной дроби:

Вопрос 3
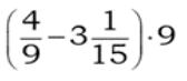
Вычислите и запишите ответ в виде десятичной дроби:

Вопрос 4
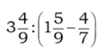
Вычислите и запишите ответ в виде десятичной дроби:

Вопрос 5
Вычислите и запишите ответ в виде десятичной дроби:

Получите комплекты видеоуроков + онлайн версии
Пройти тест
Сохранить у себя:
Тесты по алгебре 8 класс
0
209
Нравится
0


