Размещения
Список вопросов теста
Вопрос 1
Как называются соединения, каждое из которых содержит n элементов, взятых из данных m разных элементов, и которые отличаются одно от другого либо самими элементами, либо порядком их расположения?
Варианты ответов
-
Размещения из m элементов по n элементов (n ≤ m)
-
Перестановками из m элементов по n элементов (n ≤ m)
-
Сочетаниями из m элементов по n элементов (n ≤ m)
Вопрос 2
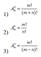
Отметьте формулу для нахождения числа размещений из m элементов по n элементов.

Варианты ответов
- 1
- 2
- 3
Вопрос 3
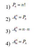
Отметьте верные равенства.

Варианты ответов
- 1
- 2
- 3
- 4
Вопрос 4
Сколько различных двузначных чисел можно записать с помощью цифр 1, 2, 3, 4 при условии, что в каждой записи нет одинаковых цифр?
Вопрос 5
В классе изучают 9 предметов. Сколькими способами можно составить расписание на понедельник, если в этот день должно быть 6 разных предметов?
Варианты ответов
- 60 480
- 30 240
- 10 000
Вопрос 6
Вычислите 
Вопрос 7
Вычислите 
Вопрос 8
Сколько существует способов для обозначения вершин четырёхугольника с помощью букв A, B, C, D, E, F? В ответе укажите число. Например, 333
Вопрос 9
Решите данное уравнение относительно n.

Варианты ответов
- -7
- -6
- 1
- 6
- 7
Вопрос 10
В чемпионате по футболу участвуют 10 команд. Сколько существует различных возможностей занять командам первые три места?


