Равноускоренное движение
Казакова Оля Владимировна
13.10.2025.
Тест. Физика, 10 класс
Тест на тему "Равноускоренное движение" для 10 класса
Система оценки:
5* балльная
Список вопросов теста
Вопрос 1
Что характеризует равноускоренное движение?
Варианты ответов
- Постоянная скорость
- Постоянное ускорение
- Постоянное перемещение
- Постоянная координата
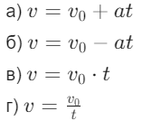
Вопрос 2
Формула для расчёта скорости при равноускоренном движении:
Варианты ответов
- А
- Б
- В
- Г
Вопрос 3
Какой график движения соответствует равноускоренному движению?
Варианты ответов
- Парабола для координаты от времени
- Прямая линия для скорости от времени
- Синусоида для перемещения
- Гипербола для пути
Вопрос 4
При торможении ускорение направлено:
Варианты ответов
- Против направления движения
- По направлению движения
- Перпендикулярно движению
- Под углом 45° к движению
Вопрос 5
Тело движется с ускорением 3 м/с². Начальная скорость 2 м/с. Какая скорость через 4 с?
Варианты ответов
- 10 м/с
- 12 м/с
- 14 м/с
- 16 м/с
Вопрос 6
Автомобиль тормозит с ускорением 2 м/с². Начальная скорость 20 м/с. Время остановки:
Варианты ответов
- 5 с
- 10 с
- 15 с
- 20 с
Вопрос 7
Тело движется равноускоренно. За первую секунду прошло 2 м. Путь за вторую секунду:
Варианты ответов
- 4 м
- 8 м
- 10 м
- 6 м
Вопрос 8
Два тела начали движение одновременно. Первое с ускорением 3 м/с², второе 2 м/с². Через 5 с расстояние между ними равно ....
Получите комплекты видеоуроков + онлайн версии
Пройти тест
Сохранить у себя:
Тесты по физике 10 класс
0
153
Нравится
0


