Равносильность уравнений
Список вопросов теста
Вопрос 1
Укажите уравнения или неравенства, которые составляют систему, равносильную данному уравнению:
Варианты ответов
Вопрос 2
Укажите неравенство, которое задает ОДЗ уравнения
Варианты ответов
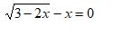
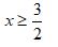
Вопрос 3
Укажите неравенство, которое задает ОДЗ уравнения
Варианты ответов
Вопрос 4
Укажите уравнения или неравенства, которые составляют систему или совокупность, равносильную данному уравнению:
Варианты ответов
Вопрос 5
Из предложенных уравнений выберите те, которые являются следствием для уравнения
Варианты ответов
-
\(2^x=-\frac{1}{4}\)
-
-
Вопрос 6
Из предложенных уравнений выберите те, которые не являются следствием для уравнения
Варианты ответов
-
\(2^x=-\frac{1}{4}\)
-
-
-
\(\frac{2}{x}=1\)
Вопрос 7
Составьте верное соответствие между названиями основных этапов решения уравнений и их содержанием.
1.
Ответить на вопрос: все ли преобразования равносильны?
2.
Проверки всех найденных корней
3.
Переход от исходного уравнения к более простому.
Варианты ответов
- Технический
- Анализ решения
- Проверка
Вопрос 8
Как называются корни, которые в результате проверки не подошли:
Варианты ответов
- чужие
- посторонние
- ненужные
Вопрос 9
Проверка всех найденных корней обязательна, если:
Варианты ответов
- Все выполненные преобразования были равносильными
- Произошло расширение области определения уравнения
- Не выполнялось возведение обеих частей уравнения в одну и ту же четную степень.
- Осуществлялось возведение обеих частей уравнения в одну и ту же четную степень.
Вопрос 10
Укажите верное утверждение:
Варианты ответов
- Применяя при решении уравнения какую-либо формулу, надо следить за тем, чтобы ОДЗ переменной для правой и левой частей формулы были одинаковыми.
- Применяя при решении уравнения какую-либо формулу, не обязательно следить за тем, чтобы ОДЗ переменной для правой и левой частей формулы были одинаковыми.


