Равномерное и неравномерное движение
Список вопросов теста
Вопрос 1
Во время подъёма в гору скорость велосипедиста, двигающегося прямолинейно и равноускорено, изменилась за 10 с от 7 м/с до 17 м/с. При этом модуль ускорения велосипедиста был равен ...
В ответе напишите только численное значение, единицы измерения писать не надо.
Вопрос 2
В каких единицах измеряют ускорение?
Варианты ответов
Вопрос 3
Сопоставьте скорости:
1.
5 м/с
2.
15 м/с
3.
36 км/ч
4.
72 км/ч
5.
25 м/с
Варианты ответов
- 18 км/ч
- 54 км/ч
- 10 м/с
- 20 м/с
- 90 км/ч
Вопрос 4
Сопоставьте понятия и определения.
1.
движение, при котором тело за любые равные промежутки времени совершает одинаковые перемещения
2.
скорость движения в данный момент времени или в данной точке траектории
3.
движение, при котором за любые равные промежутки времени скорость тела изменяется на одну и ту же величину, а траекторией движения тела является прямая линия
4.
физическая векторная величина, характеризующая быстроту изменения скорости тела
Варианты ответов
- равномерное прямолинейное движение
- равноускоренное прямолинейное движение
- мгновенная скорость
- ускорение
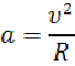
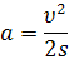
Вопрос 5
Какая из приведенных ниже формул соответствует определению ускорения?
Варианты ответов
-

-

-

-
Среди ответов нет правильного








