Рациональные выражения
Список вопросов теста
Вопрос 1
Выберите верные утверждения.
Варианты ответов
-
Целые выражения - это выражения, составленные из чисел и переменных, содержащие действия сложения, вычитания и умножения, а также деления на число, отличное от нуля.
-
Дробные выражения - это выражения, составленные из чисел и переменных, содержащие действия сложения, вычитания и умножения, а также деления на выражение с переменными.
-
Рациональными выражениями называют выражения вида:

-
Целые и дробные выражения называют рациональными выражениями.
-
Рациональными выражениями называют выражения, составленные из чисел, переменных, их степеней и знаков арифметических действий.
Вопрос 2
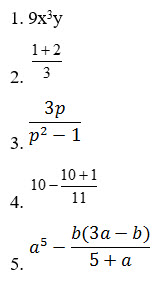
Укажите рациональные выражения.

Варианты ответов
- 1
- 2
- 3
- 4
- 5
Вопрос 3
Выберите неверные утверждения:
Варианты ответов
- Значения переменных, при которых выражение имеет смысл, называют допустимыми значениями переменных.
- Целые выражения имеют смысл только тогда, когда значения переменных отличны от нуля.
- Дробные выражения имеют смысл при любых значениях переменных.
- Множество всех допустимых значений переменных называется ОДЗ или областью определения выражения.
- Чтобы найти значение рационального выражения, надо: 1) Подставить числовое значение переменной в данное выражение; 2) Выполнить все действия.
Вопрос 4
Найдите значение рациональной дроби при x = 10:

Варианты ответов
-
0
-

-

-

-
не имеет значения
Вопрос 5
Найдите значение рациональной дроби при а = -1:

Варианты ответов
-
-2
-
-0,5
-
0,5
-
2
-
не имеет значения
Вопрос 6
Найдите допустимые значения переменной в выражении:

Варианты ответов
- -2,5
- 0
- все числа
- все числа, кроме -2,5
- все числа, кроме 0
Вопрос 7
Найдите допустимые значения переменной в выражении:

Варианты ответов
- все числа
- 4
- -4
- все числа, кроме 4 и -4
- все числа, кроме -4
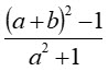
Вопрос 8
Чему равно значение дроби при a = -2, b = 1? В ответ запишите только число, например 5. Если в ответе получится десятичная дробь, то отделите целую часть от дробной запятой. Например: 0,3. Если в ответе получится отрицательное число, то пробел между знаком минус и числом ставить не нужно. Например, -6

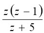
Вопрос 9
При каких значениях переменной равно нулю значение дроби?

Варианты ответов
- 0
- -1
- 5
- -5
- 1
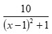
Вопрос 10
При каком значении переменной дробь принимает наибольшее значение? В ответ запишите только число, например 5. Если в ответе получится десятичная дробь, то отделите целую часть от дробной запятой. Например: 0,3. Если в ответе получится отрицательное число, то пробел между знаком минус и числом ставить не нужно. Например, -6







