Рациональные выражения
Автор скрыт
02.04.2020.
Тест. Математика, 9 класс
Будьте внимательны! У Вас есть 10 минут на прохождение теста. Система оценивания - 5 балльная. Разбалловка теста - 3,4,5 баллов, в зависимости от сложности вопроса. Порядок заданий и вариантов ответов в тесте случайный. С допущенными ошибками и верными ответами можно будет ознакомиться после прохождения теста. Удачи!
Система оценки:
5 балльная
Список вопросов теста
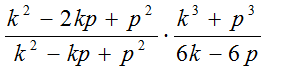
Вопрос 1
Найти значение выражения при k = -3,4, p = -4,6:
Варианты ответов
- -1,6
- 8
- 1,2
- 6
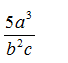
Вопрос 2
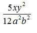
Найти значение дроби при х = 5:
Вопрос 3
Выполните сложение рациональных дробей:
Варианты ответов
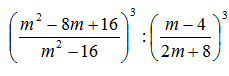
Вопрос 4
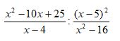
Найти частное:
Варианты ответов
Вопрос 5
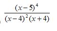
Возвести дробь в 4-ую степень:

Варианты ответов
Вопрос 6
Найдите разность рациональных дробей:

Варианты ответов
Вопрос 7
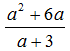
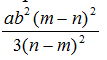
Найдите значение выражения:

Вопрос 8
Выполнить умножение:

Варианты ответов
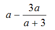
Вопрос 9
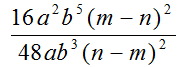
Выполните сокращение:

Варианты ответов
Вопрос 10
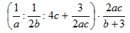
Упростите выражение:
Варианты ответов
- 1
-

-

-

Получите комплекты видеоуроков + онлайн версии
Пройти тест
Сохранить у себя:
Тесты по математике 9 класс
0
371
Нравится
0

























