Рациональные дроби и их свойства
Автор скрыт
07.05.2020.
Тест. Алгебра, 8 класс
Будьте внимательны! У Вас есть 30 минут на прохождение теста. Система оценивания - 5 балльная.
Система оценки:
5 балльная
Список вопросов теста
Вопрос 1
Найдите значение рациональной дроби, при а = -1:
(в ответ записать получившееся число)
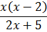
Вопрос 2
Найдите допустимые значения переменной в выражении:

Варианты ответов
- все числа, кроме -2,5
- все числа, кроме 0
- 0
- -2,5
- все числа
Вопрос 3
Найдите разность дробей:

Варианты ответов
-
\(\frac{х}{25}\)
-
\(\frac{х-5}{х^2}\)
-
\(\frac{х-3}{х^2-25}\)
-
\(\frac{1}{х+5}\)
-
\(\frac{х+5}{х-5}\)
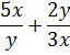
Вопрос 4
Найдите сумму дробей:

Варианты ответов
-
\(\frac{7ху}{3ху}\)
-
\(\frac{15х^2+2у^2}{3ху}\)
-
\(\frac{5х+2у}{3х+у}\)
-
\(\frac{2х^2+у^2}{у-3х}\)
-
\(\frac{8х+3у}{3ху}\)
Вопрос 5
Преобразуйте выражение в рациональную дробь:
\(\left(a^2-9\right)\div\frac{\left(5a-15\right)\left(a+3\right)}{2a^2}+\frac{\left(4a+5\right)}{2}\)
Варианты ответов
-
\(\frac{a^3-15}{4a+5}\)
-
\(\frac{\left(2a+5\right)^2}{10}\)
-
\(\frac{5}{\left(a-3\right)^2}\)
-
\(\frac{10}{4a+5}\)
-
\(\frac{5a-3}{2a^2}\)
Получите комплекты видеоуроков + онлайн версии
Пройти тест
Сохранить у себя:
Тесты по алгебре 8 класс
0
649
Нравится
0


