Проверка ЕГЭ1
Список вопросов теста
Вопрос 1
Задание 1
На рисунке схема дорог изображена в виде графа, в таблице содержатся сведения о длине этих дорог в километрах....

Так как таблицу и схему рисовали независимо друг от друга, то нумерация населённых пунктов в таблице никак не связана с буквенными обозначениями на графе. Определите длину дороги из пункта Б в пункт Г. В ответе запишите целое число.
Вопрос 2
Задание 2.
Логическая функция F задаётся выражением ((x ∧ ¬y) → (¬z ∨ ¬w)) ∧ ((w → x) ∨ y). На рисунке приведён частично заполненный фрагмент таблицы истинности функции F, содержащий неповторяющиеся строки. Определите, какому столбцу таблицы истинности функции F соответствует каждая из переменных x, y, z, w.

В ответе напишите буквы x, y, z, w в том порядке, в котором идут соответствующие им столбцы. Буквы в ответе пишите подряд, никаких разделителей между буквами ставить не нужно.
Вопрос 3
Задание 3
Ниже в табличной форме представлен фрагмент базы данных некоторого крупного предприятия. В первой таблице отражены фамилии сотрудников и точек на территории предприятия, где они могут находиться по должностной инструкции, во второй — фамилии сотрудников, число и время их очередного прохода на территорию предприятия.

Руководствуясь приведенными таблицами, определите максимально возможное число сотрудников, пришедших на работу 2 октября с 9:00 до 10:00, которые могут находиться в зоне А главного корпуса.
Вопрос 4
Задание 4
По каналу связи передаются сообщения, содержащие только семь букв: А, Б, В, Д, Е, И, Н. Для передачи используется двоичный код, удовлетворяющий условию Фано. Кодовые слова для некоторых букв известны: А — 110, Б — 01, И — 000. Какое наименьшее количество двоичных знаков потребуется для кодирования слова ВВЕДЕНИЕ?
Вопрос 5
Задание 5
Автомат получает на вход четырёхзначное число. По этому числу строится новое число по следующим правилам.
1. Складываются отдельно первая и вторая цифры, вторая и третья цифры, а также третья и четвёртая цифры.
2. Из полученных трёх чисел выбираются два наибольших и записываются друг за другом в порядке неубывания без разделителей.
Пример. Исходное число: 9575. Суммы: 9 + 5 = 14; 5 + 7 = 12; 7 + 5 = 12. Наибольшие суммы: 14, 12. Результат: 1214.
Укажите наибольшее число, при обработке которого автомат выдаёт результат 1517.
Вопрос 6
Задание 6
Определите, что будет напечатано в результате выполнения программы, записанной ниже
Python
s = 300
n = 100
while s // n >= 2:
s = s + 5
n = n + 5
print(s)
Паскаль
var s, n: integer; begin s := 300; n := 100; while s div n >= 2 do begin s := s + 5; n := n + 5 end; writeln(s) end.
Вопрос 7
Задание 7
Электронный почтовый ящик имеет объем 1,535 Мбайт. Информация на его адрес по открытому на прием каналу связи передается со скоростью 2,5 Кбайт/с. Через какое время у поставщика услуг электронной почты появится повод прислать уведомление о переполнении почтового ящика? Укажите время в секундах, округлив до целых
Вопрос 8
Задание 8
Олег составляет таблицу кодовых слов для передачи сообщений, каждому сообщению соответствует своё кодовое слово. В качестве кодовых слов Олег использует 4-буквенные слова, в которых есть только буквы A, B, C, D, X, Y, Z, причём буквы X, Y и Z встречаются только на двух первых позициях, а буквы A, B, C, D — только на двух последних. Сколько различных кодовых слов может использовать Олег?
Вопрос 9
Задание 9
Откройте файл электронной таблицы, содержащей вещественные числа — результаты ежечасного измерения температуры воздуха на протяжении трёх месяцев.
Сколько раз встречалась температура, выше округленного до десятых среднего арифметического значения всех чисел в таблице?
Вопрос 10
Задание 10
С помощью текстового редактора определите, сколько раз, не считая сносок, встречается слово «чёрт» или «Чёрт» в тексте романа в стихах А. С. Пушкина «Евгений Онегин». Другие формы слова «чёрт», такие как «чёрта» и т. д., учитывать не следует. В ответе укажите только число.
Вопрос 11
Задание 11
При регистрации в компьютерной системе для каждого пользователя формируется индивидуальный идентификатор, состоящий из 14 символов. Для построения идентификатора используют только латинские буквы (26 заглавных и 26 строчных букв). В базе данных для хранения сведений о каждом пользователе отведено одинаковое минимально возможное целое число байт. При этом используют посимвольное кодирование идентификаторов, все символы кодируют одинаковым минимально возможным количеством бит. Кроме идентификатора для каждого пользователя в системе хранятся дополнительные сведения, для чего выделено 19 байт на каждого пользователя.
Сколько байт нужно для хранения сведений о 25 пользователях? В ответе запишите только целое число – количество байт.
Вопрос 12
Задание 12
Система команд исполнителя РОБОТ, «живущего» в прямоугольном лабиринте на клетчатой плоскости:
| вверх | вниз | влево | вправо |
При выполнении этих команд РОБОТ перемещается на одну клетку соответственно: вверх, вниз, влево, вправо.
Четыре команды проверяют истинность условия отсутствия стены у той клетки, где находится РОБОТ:
| сверху свободно |
снизу свободно |
слева свободно |
справа свободно |
Цикл
ПОКА <условие> команда
выполняется, пока условие истинно, иначе происходит переход на следующую строку.
Сколько клеток лабиринта соответствуют требованию, что, выполнив предложенную программу, РОБОТ остановится в той же клетке, с которой он начал движение?
НАЧАЛО
ПОКА <сверху свободно> вправо
ПОКА <справа свободно> вниз
ПОКА <снизу свободно> влево
ПОКА <слева свободно> вверх
КОНЕЦ
Вопрос 13
Задание 13
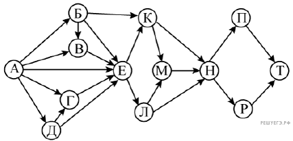
На рисунке изображена схема дорог, связывающих города А, Б, В, Г, Д, Е, К, Л, М, Н, П, Р, Т. По каждой дороге можно двигаться только в одном направлении, указанном стрелкой. Сколько существует различных путей из города А в город Т?
Вопрос 14
Задание 14
В системе счисления с некоторым основанием десятичное число 18 записывается в виде 30. Укажите это основание.
Вопрос 15
Задание 15
Обозначим через m&n поразрядную конъюнкцию неотрицательных целых чисел m и n.
Например, 14&5 = 11102&01012 = 01002 = 4.
Для какого наименьшего неотрицательного целого числа А формула
x&49 ≠ 0 → (x&41 = 0 → x&А ≠ 0)
тождественно истинна (т. е. принимает значение 1 при любом неотрицательном целом значении переменной х)?
Вопрос 16
Задание 16
Алгоритм вычисления функции F(n) задан следующими соотношениями:
F(n) = 1 при n = 1
F(n) = n + F(n–1), если n чётно,
F(n) = 2· F(n–2), если n > 1 и n нечётно.
Чему равно значение функции F(26)?
Для выполнения задания можно написать программу или воспользоваться редактором электронных таблиц.
Вопрос 17
Задание 17
Рассматривается множество целых чисел, принадлежащих числовому отрезку [5883; 15906], которые делятся на 9 или 23 и не делятся на 13, 18, 19, 22. Найдите количество таких чисел и максимальное из них. В ответе запишите два целых числа без пробелов и других дополнительных символов: сначала количество, затем максимальное число.
Для выполнения этого задания можно написать программу или воспользоваться редактором электронных таблиц.
Вопрос 18
Задание 18
Квадрат разлинован на N×N клеток (1 < N < 17). Исполнитель Робот может перемещаться по клеткам, выполняя за одно перемещение одну из двух команд: вправо или вверх. По команде вправо Робот перемещается в соседнюю правую клетку, по команде вверх — в соседнюю верхнюю. При попытке выхода за границу квадрата Робот разрушается. Перед каждым запуском Робота в каждой клетке квадрата лежит монета достоинством от 1 до 100. Посетив клетку, Робот забирает монету с собой; это также относится к начальной и конечной клетке маршрута Робота.
Откройте файл. Определите максимальную и минимальную денежную сумму, которую может собрать Робот, пройдя из левой нижней клетки в правую верхнюю. В ответ запишите два числа друг за другом без разделительных знаков — сначала максимальную сумму, затем минимальную.
Исходные данные представляют собой электронную таблицу размером N×N, каждая ячейка которой соответствует клетке квадрата.
Пример входных данных:
| 1 | 8 | 8 | 4 |
| 10 | 1 | 1 | 3 |
| 1 | 3 | 12 | 2 |
| 2 | 3 | 5 | 6 |
Для указанных входных данных ответом должна быть пара чисел 41 и 22.
Вопрос 19
Задание 19
Два игрока, Петя и Ваня, играют в следующую игру. Перед игроками лежат две кучи камней. Игроки ходят по очереди, первый ход делает Петя. За один ход игрок может
увеличить количество камней в куче в два раза.
Например, пусть в одной куче 6 камней, а в другой 9 камней; такую позицию мы будем обозначать (6, 9). За один ход из позиции (6, 9) можно получить любую из четырёх позиций: (7, 9), (12, 9), (6, 10), (6, 18). Чтобы делать ходы, у каждого игрока есть неограниченное количество камней.
Игра завершается в тот момент, когда суммарное количество камней в кучах становится не менее 62. Победителем считается игрок, сделавший последний ход, то есть первым получивший позицию, в которой в кучах будет 62 или больше камней.
В начальный момент в первой куче было 10 камней, во второй куче — S камней, 1 ≤ S ≤ 51.
Будем говорить, что игрок имеет выигрышную стратегию, если он может выиграть при любых ходах противника. Описать стратегию игрока — значит, описать, какой ход он должен сделать в любой ситуации, которая ему может встретиться при различной игре противника. В описание выигрышной стратегии не следует включать ходы играющего по ней игрока, которые не являются для него безусловно выигрышными, то есть не гарантируют выигрыш независимо от игры противника.
Известно, что Ваня выиграл своим первым ходом после неудачного первого хода Пети. Укажите минимальное значение S, когда такая ситуация возможна.
Вопрос 20
Задание 20
Два игрока, Петя и Ваня, играют в следующую игру. Перед игроками лежат две кучи камней. Игроки ходят по очереди, первый ход делает Петя. За один ход игрок может
увеличить количество камней в куче в два раза.
Например, пусть в одной куче 6 камней, а в другой 9 камней; такую позицию мы будем обозначать (6, 9). За один ход из позиции (6, 9) можно получить любую из четырёх позиций: (7, 9), (12, 9), (6, 10), (6, 18). Чтобы делать ходы, у каждого игрока есть неограниченное количество камней.
Игра завершается в тот момент, когда суммарное количество камней в кучах становится не менее 62. Победителем считается игрок, сделавший последний ход, то есть первым получивший позицию, в которой в кучах будет 62 или больше камней.
В начальный момент в первой куче было 10 камней, во второй куче — S камней, 1 ≤ S ≤ 51.
Будем говорить, что игрок имеет выигрышную стратегию, если он может выиграть при любых ходах противника. Описать стратегию игрока — значит, описать, какой ход он должен сделать в любой ситуации, которая ему может встретиться при различной игре противника. В описание выигрышной стратегии не следует включать ходы играющего по ней игрока, которые не являются для него безусловно выигрышными, то есть не гарантируют выигрыш независимо от игры противника.
Найдите два таких значения S, при которых у Пети есть выигрышная стратегия, причём одновременно выполняются два условия:
— Петя не может выиграть за один ход;
— Петя может выиграть своим вторым ходом независимо от того, как будет ходить Ваня.
Найденные значения запишите в ответе в порядке возрастания без разделительных знаков.
Вопрос 21
Задание 21
Два игрока, Петя и Ваня, играют в следующую игру. Перед игроками лежат две кучи камней. Игроки ходят по очереди, первый ход делает Петя. За один ход игрок может
увеличить количество камней в куче в два раза.
Например, пусть в одной куче 6 камней, а в другой 9 камней; такую позицию мы будем обозначать (6, 9). За один ход из позиции (6, 9) можно получить любую из четырёх позиций: (7, 9), (12, 9), (6, 10), (6, 18). Чтобы делать ходы, у каждого игрока есть неограниченное количество камней.
Игра завершается в тот момент, когда суммарное количество камней в кучах становится не менее 62. Победителем считается игрок, сделавший последний ход, то есть первым получивший позицию, в которой в кучах будет 62 или больше камней.
В начальный момент в первой куче было 10 камней, во второй куче — S камней, 1 ≤ S ≤ 51.
Будем говорить, что игрок имеет выигрышную стратегию, если он может выиграть при любых ходах противника. Описать стратегию игрока — значит, описать, какой ход он должен сделать в любой ситуации, которая ему может встретиться при различной игре противника. В описание выигрышной стратегии не следует включать ходы играющего по ней игрока, которые не являются для него безусловно выигрышными, то есть не гарантируют выигрыш независимо от игры противника.
Найдите минимальное значение S, при котором одновременно выполняются два условия:
— у Вани есть выигрышная стратегия, позволяющая ему выиграть первым или вторым ходом при любой игре Пети;
— у Вани нет стратегии, которая позволит ему гарантированно выиграть первым ходом.
Вопрос 22
Задание 22
Получив на вход число x, этот алгоритм печатает число M. Известно, что x > 100. Укажите наименьшее такое (т. е. большее 100) число x, при вводе которого алгоритм печатает 30.


Вопрос 23
Задание 23
Исполнитель Май17 преобразует число на экране.
У исполнителя есть две команды, которым присвоены номера:
1. Прибавить 1
2. Прибавить 3
Первая команда увеличивает число на экране на 1, вторая увеличивает его на 3. Программа для исполнителя Май17 — это последовательность команд.
Сколько существует программ, для которых при исходном числе 1 результатом является число 15 и при этом траектория вычислений содержит число 8? Траектория вычислений программы – это последовательность результатов выполнения всех команд программы. Например, для программы 121 при исходном числе 7 траектория будет состоять из чисел 8, 11, 12.
Вопрос 24
Задание 24
Текстовый файл состоит не более чем из 106 символов A, B и C. Определите максимальное количество идущих подряд символов C.
Для выполнения этого задания следует написать программу. Ниже приведён файл, который необходимо обработать с помощью данного алгоритма.
Вопрос 25
Задание 25
Напишите программу, которая ищет среди целых чисел, принадлежащих числовому отрезку [489 421; 489 440], числа, имеющие ровно четыре различных натуральных делителя. Для каждого найденного числа запишите эти четыре делителя в четыре соседних столбца на экране с новой строки. Делители в строке должны следовать в порядке возрастания.
Например, в диапазоне [12; 14] ровно четыре различных натуральных делителя имеет число 14, поэтому для этого диапазона вывод на экране должна содержать следующие значения:
1 2 7 14
Внимание! Ответы введите построчно через пробел, для каждого найденного числа. Например:
1 25 125 25485
1 37 149 24581
Вопрос 26
Задание 26
Системный администратор раз в неделю создаёт архив пользовательских файлов. Однако объём диска, куда он помещает архив, может быть меньше, чем суммарный объём архивируемых файлов. Известно, какой объём занимает файл каждого пользователя.
По заданной информации об объёме файлов пользователей и свободном объёме на архивном диске определите максимальное число пользователей, чьи файлы можно сохранить в архиве, а также максимальный размер имеющегося файла, который может быть сохранён в архиве, при условии, что сохранены файлы максимально возможного числа пользователей.
Входные данные.
В первой строке входного файла находятся два числа: S — размер свободного места на диске (натуральное число, не превышающее 10 000) и N — количество пользователей (натуральное число, не превышающее 1000). В следующих N строках находятся значения объёмов файлов каждого пользователя (все числа натуральные, не превышающие 100), каждое в отдельной строке.
Запишите в ответе два числа: сначала наибольшее число пользователей, чьи файлы могут быть помещены в архив, затем максимальный размер имеющегося файла, который может быть сохранён в архиве, при условии, что сохранены файлы максимально возможного числа пользователей.
Пример входного файла:
100 4
80
30
50
40
При таких исходных данных можно сохранить файлы максимум двух пользователей. Возможные объёмы этих двух файлов 30 и 40, 30 и 50 или 40 и 50. Наибольший объём файла из перечисленных пар — 50, поэтому ответ для приведённого примера:
2 50
Вопрос 27
Задание 27
На вход программы поступает последовательность из N натуральных чисел. Рассматриваются все пары различных элементов последовательности, у которых различные остатки от деления на d = 160 и хотя бы одно из чисел делится на p = 7. Среди таких пар, необходимо найти и вывести пару с максимальной суммой элементов.
Входные данные.
В первой строке входных данных задаётся количество чисел N (1 ≤ N ≤ 1000). В каждой из последующих N строк записано одно натуральное число, не превышающее 10000. В качестве результата программа должна напечатать элементы искомой пары. Если среди найденных пар максимальную сумму имеют несколько, то можно напечатать любую из них. Если таких пар нет, то вывести два нуля.
Пример организации исходных данных во входном файле:
4
168
7
320
328
Пример выходных данных для приведённого выше примера входных данных:
168 320
В ответе укажите четыре числа: сначала значение искомой суммы для файла А (два числа через пробел), затем для файла B (два числа через пробел).


