Протонно-нейтронная модель ядра
Андреева Наталия Викторовна
13.04.2020.
Тест. Физика, 9 класс
Протонно-нейтронная модель атома, открытие протона и нейтрона
Система оценки:
5* балльная
Список вопросов теста
Вопрос 1
Укажите характерные особенности заряда нейтрона.
Варианты ответов
- отрицательный
- заряд равен нулю
- заряд равен элементарному заряду
- положителен
Вопрос 2
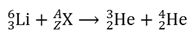
Чем является неизвестный символ в ядерной реакции
Варианты ответов
- протоном
- нейтроном
- ядром протия
- электроном
Вопрос 3
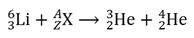
Допишите неизвестный символ в ядерной реакции
Варианты ответов
-
протон
-
нейтрон
-
ядро протия
-
электрон
Вопрос 4
Масса нейтрона
Варианты ответов
- намного меньше массы протона
- немного больше массы электрона
- немного больше массы протона
- намного больше массы протона
Вопрос 5
Какие частицы входят в состав ядра любого атома химического элемента
Варианты ответов
- нейтрон
- протон
- электрон
- позитрон
Вопрос 6
Массовое число элемента в таблице Менделеева определяет
Варианты ответов
- число электронов в ядре
- число протонов в ядре
- число нейтронов в ядре
- число нуклонов в ядре
Вопрос 7
Порядковый номер элемента в таблице химических элементов Менделеева равен
Варианты ответов
- порядковый номер ничего не указывает
- числу нуклонов в ядре
- числу нейтронов в ядре
- числу протонов в ядре
Вопрос 8
Сколько протонов в ядре атома германия
Вопрос 9
По данным таблицы химических элементов определите число нейтронов в ядре изотопа урана-235
Варианты ответов
- 235
- 92
- 143
- 146
Вопрос 10
Число электронов в ядре равно числу
Варианты ответов
- 0
- числу протонов
- числу нуклонов
- числу нейтронов
Вопрос 11
Согласно современным представлениям ядро атома состоит из
Варианты ответов
- нейтронов
- протонов
- позитронов
- электронов
Получите комплекты видеоуроков + онлайн версии
Пройти тест
Сохранить у себя:
Тесты по физике 9 класс
0
437
Нравится
0


