Производные некоторых элементарных функций
Автор скрыт
17.02.2020.
Тест. Алгебра, 11 класс
Будьте внимательны! У Вас есть 10 минут на прохождение теста. Система оценивания - 5 балльная. Разбалловка теста - 3,4,5 баллов, в зависимости от сложности вопроса. Порядок заданий и вариантов ответов в тесте случайный. С допущенными ошибками и верными ответами можно будет ознакомиться после прохождения теста. Удачи!
Система оценки:
5 балльная
Список вопросов теста
Вопрос 1
Чему равна производная функции ex?

Варианты ответов
- 1
- 2
- 3
Вопрос 2
Чему равна производная функции ax, где a > 0, a не равно 1?

Варианты ответов
- 1
- 2
- 3
- 4
Вопрос 3
Выберите верную формулу.

Варианты ответов
- 1
- 2
- 3
Вопрос 4
Сопоставьте функции и их производные.
1.

2.

3.

4.

Варианты ответов
-
(sin x)'
-
(cos x)'
-
(tg x)'
-
(ctg x)'
Вопрос 5
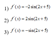
Найдите производную функции f(x) = cos(2x + 5).

Варианты ответов
- 1
- 2
- 3
Вопрос 6
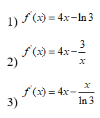
Найдите производную функции f(x) = 2x2 - 3ln x.

Варианты ответов
- 1
- 2
- 3
Вопрос 7
Найдите производную функции f(x) = 2xsin x.

Варианты ответов
- 1
- 2
- 3
Вопрос 8
Чему равно f '(x0), если f(x) = (x - 1)2(x + 2), x0 = -2?
Вопрос 9
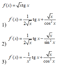
Найдите производную функции.

Варианты ответов
- 1
- 2
- 3
Вопрос 10
Чему равно f '(x0)?

Получите комплекты видеоуроков + онлайн версии
Пройти тест
Сохранить у себя:
Тесты по алгебре 11 класс
0
3776
Нравится
0


