Производная (В5)
Список вопросов теста
Вопрос 1
Найдите значение производной функции у= 0,1х+3 в точке 18
Вопрос 2
Найдите значение производной функции f(x) в точке х= - 2. Ответ округлите до тысячных
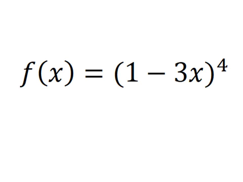
Вопрос 3
Найдите значение производной функции f(x) в точке х= 0
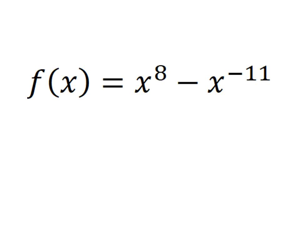
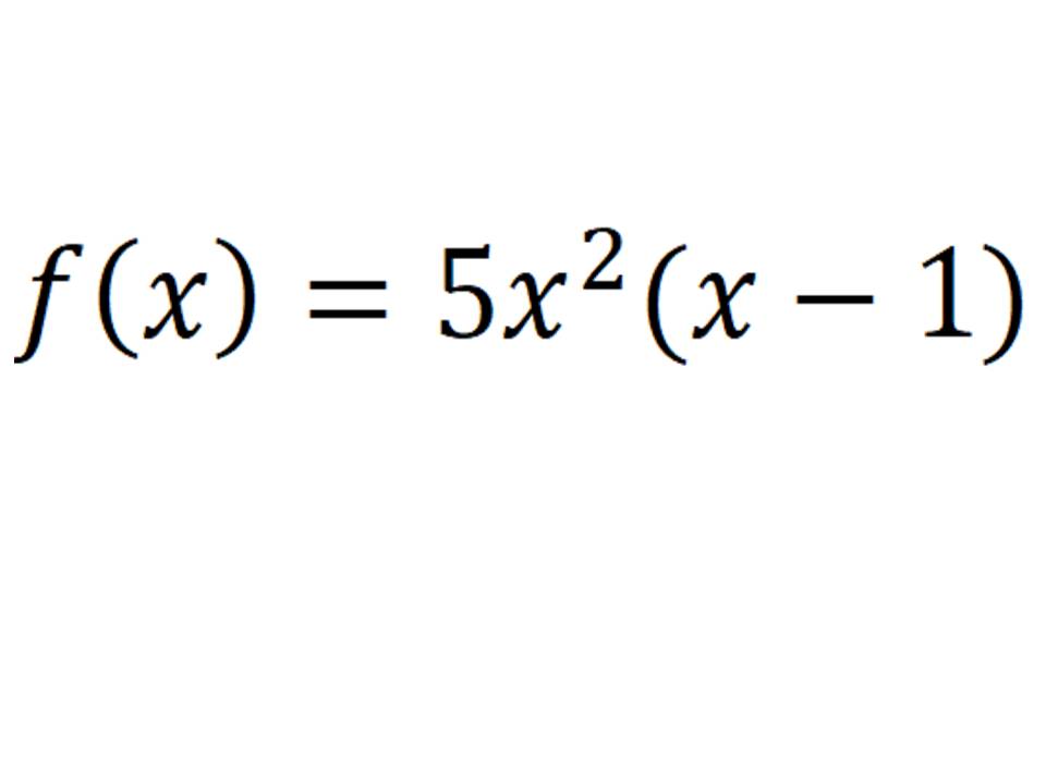
Вопрос 4
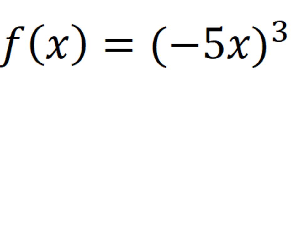
Найдите значение производной функции f(x) в точке х= -2
Вопрос 5
Найдите значение производной функции f(x) в точке х= 87. Ответ запишите в виде обыкновенной дроби, используя знак / ( например, 4/5)
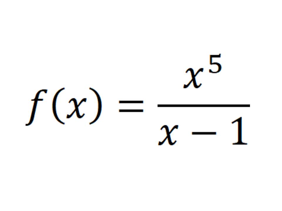
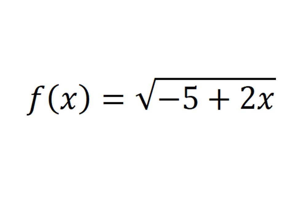
Вопрос 6
Найдите значение производной функции f(x) в точке х= 8. Ответ запишите в виде обыкновенной дроби, используя знак / ( например, 4/5)
Вопрос 7
Найдите значение производной функции f(x) в точке х= -1
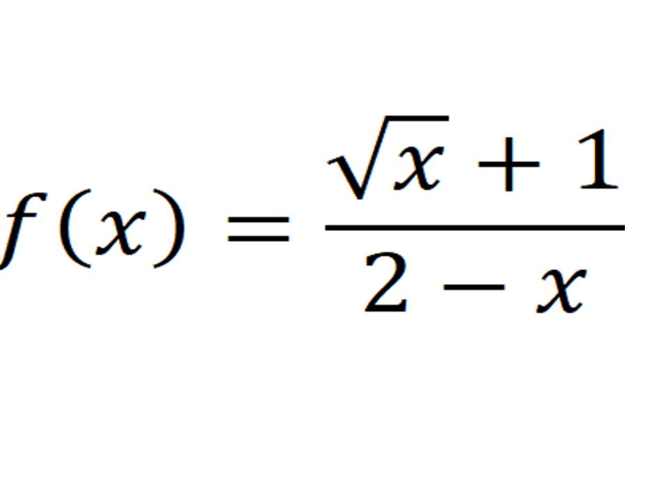
Вопрос 8
Найдите значение производной функции f(x) в точке х= 9. Ответ запишите в виде обыкновенной дроби, используя знак / ( например, 4/5)
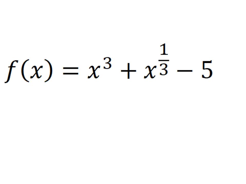
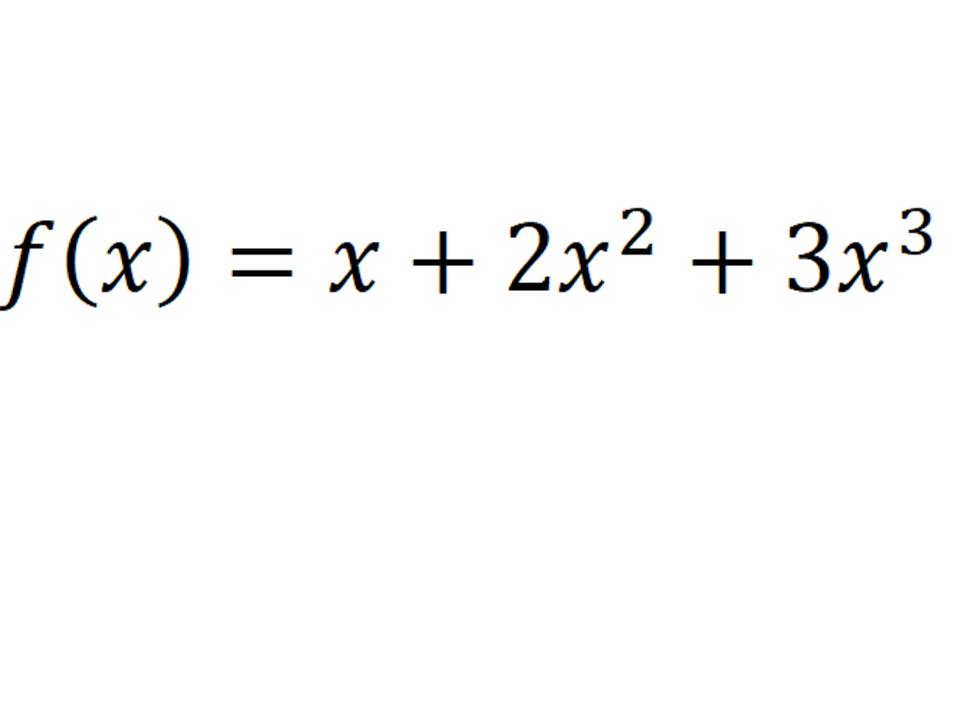
Вопрос 9
Найдите значение производной функции f(x) в точке х= 0,4
Вопрос 10
Найдите значение производной функции f(x) в точке х=2


