Производная (В4)
Боргоякова Татьяна Пантелеймоновна
15.11.2020.
Тест. Алгебра, 11 класс
Предназначена для самостоятельной работы обучающихся 11 А класса
Система оценки:
5 балльная
Список вопросов теста
Вопрос 1
Надите значение производной функции у=0,1х+3 в точке х=7,7
Вопрос 2
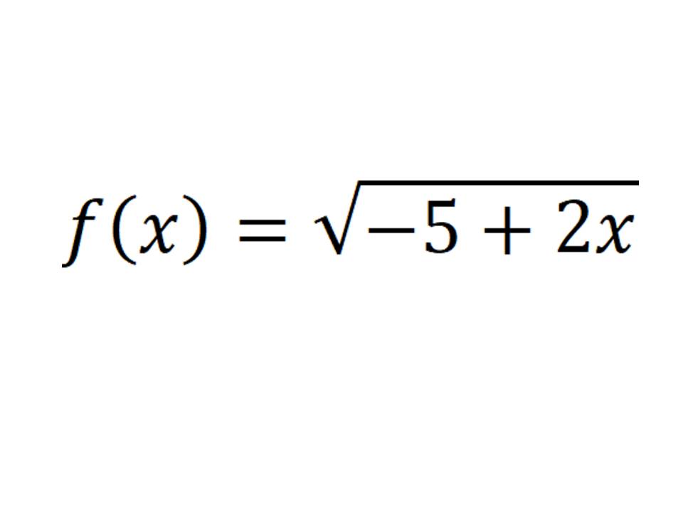
Надите значение производной функции в точке х=2. Ответ округлите до тысячных
Вопрос 3
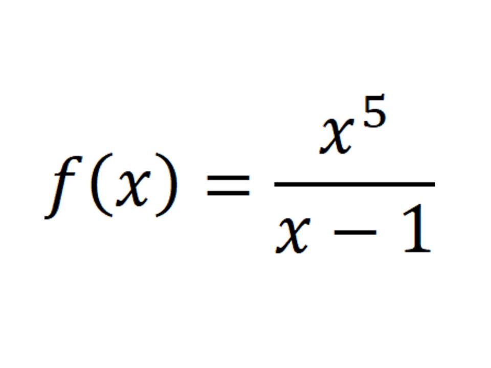
Надите значение производной функции в точке х= -2.
Вопрос 4
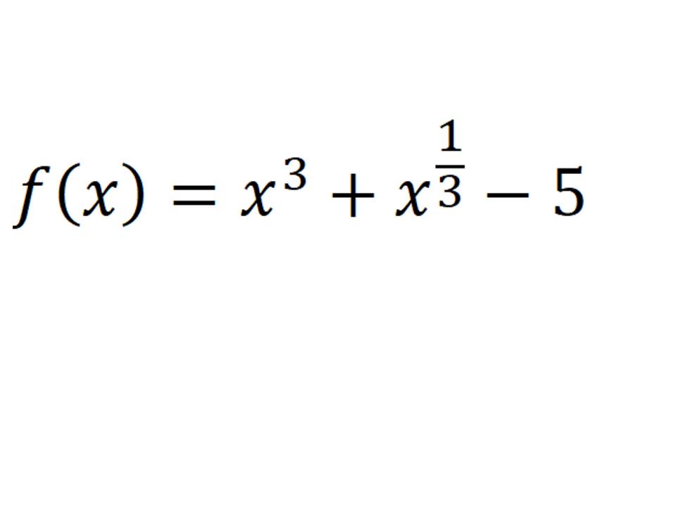
Надите значение производной функции в точке х= - 0,04
Вопрос 5
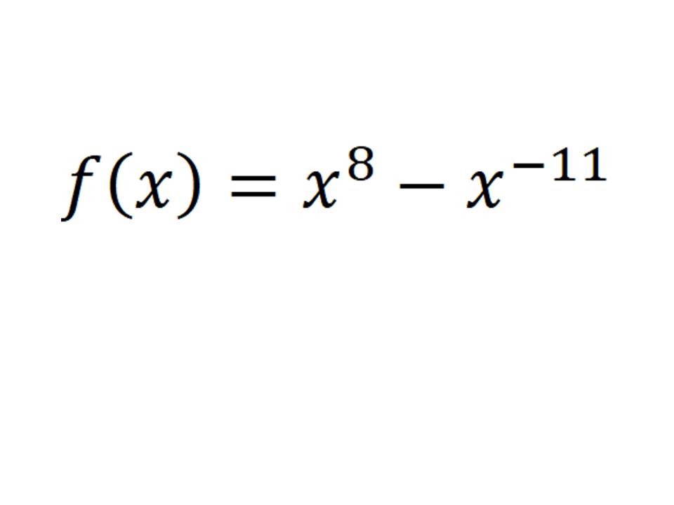
Надите значение производной функции в точке х= 15
Вопрос 6
Надите значение производной функции в точке х= 0
Вопрос 7
Надите значение производной функции в точке х= - 0,3
Вопрос 8
Надите значение производной функции в точке х= 4
Вопрос 9
Надите значение производной функции в точке х= -2,5
Вопрос 10
Надите значение производной функции в точке х= 3
Получите комплекты видеоуроков + онлайн версии
Пройти тест
Сохранить у себя:
Тесты по алгебре 11 класс
0
191
Нравится
0


