Производная (В3)
Боргоякова Татьяна Пантелеймоновна
15.11.2020.
Тест. Алгебра, 11 класс
Предназначена для самостоятельной работы обучающихся 11 а класса
Система оценки:
5 балльная
Список вопросов теста
Вопрос 1
Найдите значение производной функции у = 0,1х +3 в точке х= 8,9
Вопрос 2
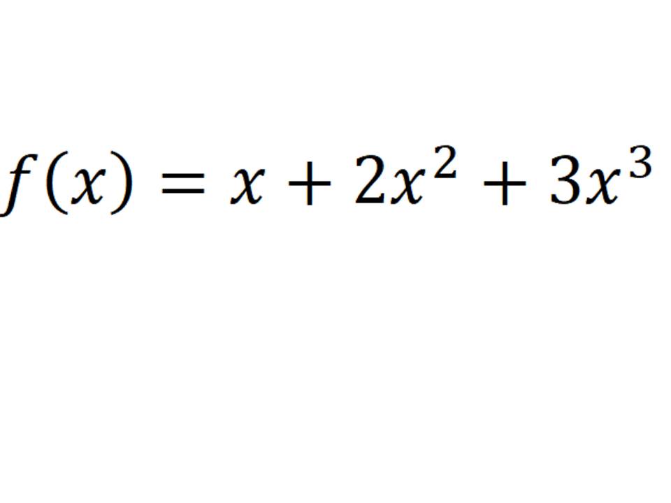
Найдите значение производной функции в точке х= - 1
Вопрос 3
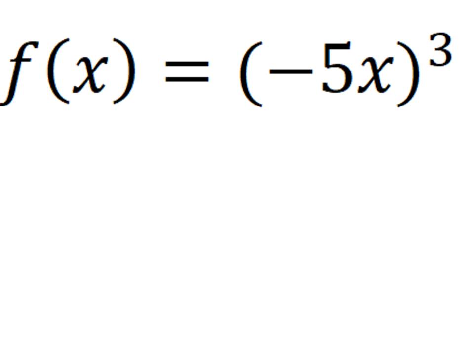
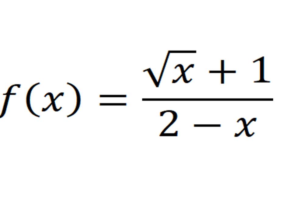
Найдите значение производной функции в точке х= 2
Вопрос 4
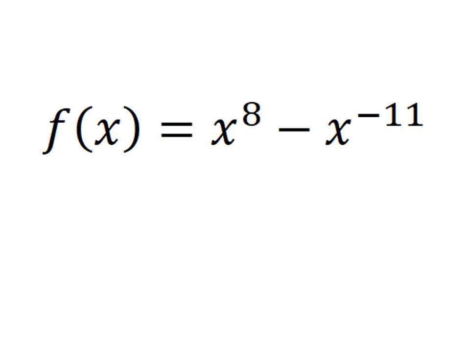
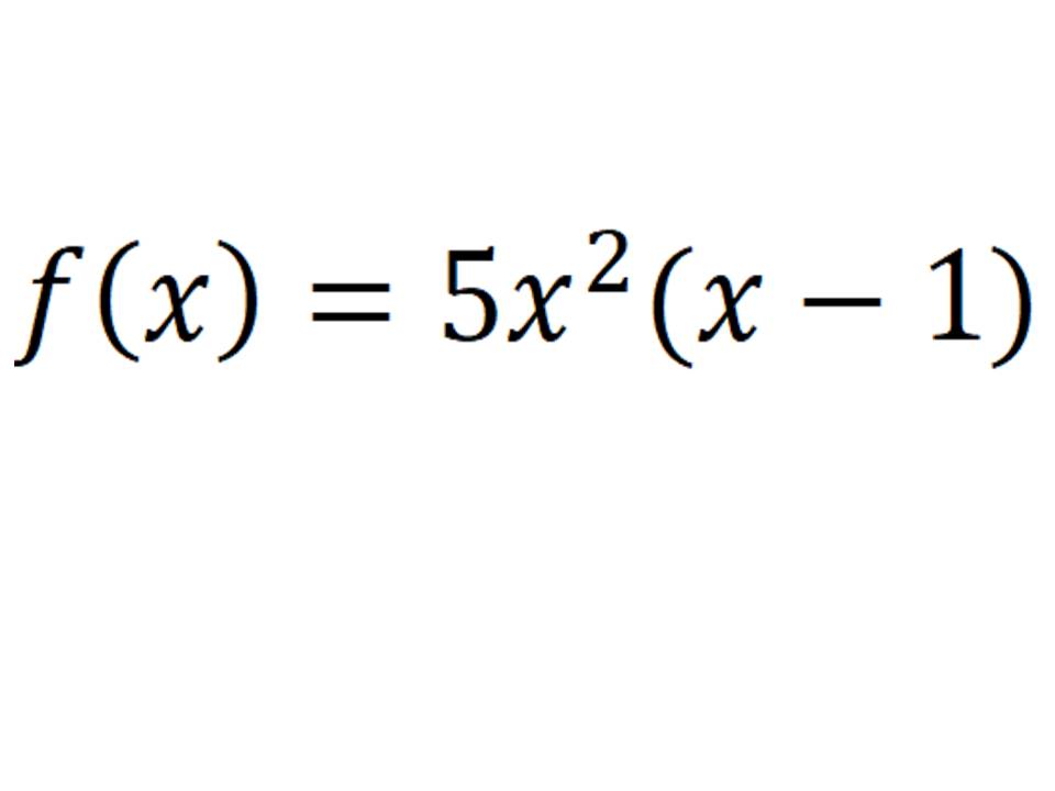
Найдите значение производной функции в точке х= 0,04
Вопрос 5
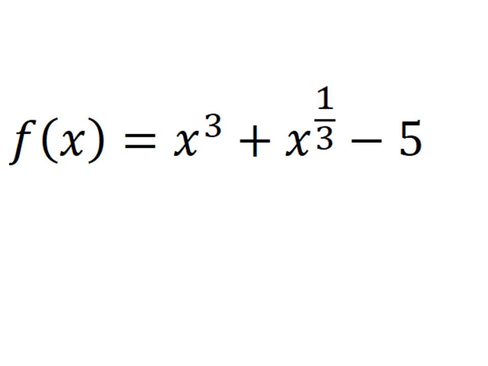
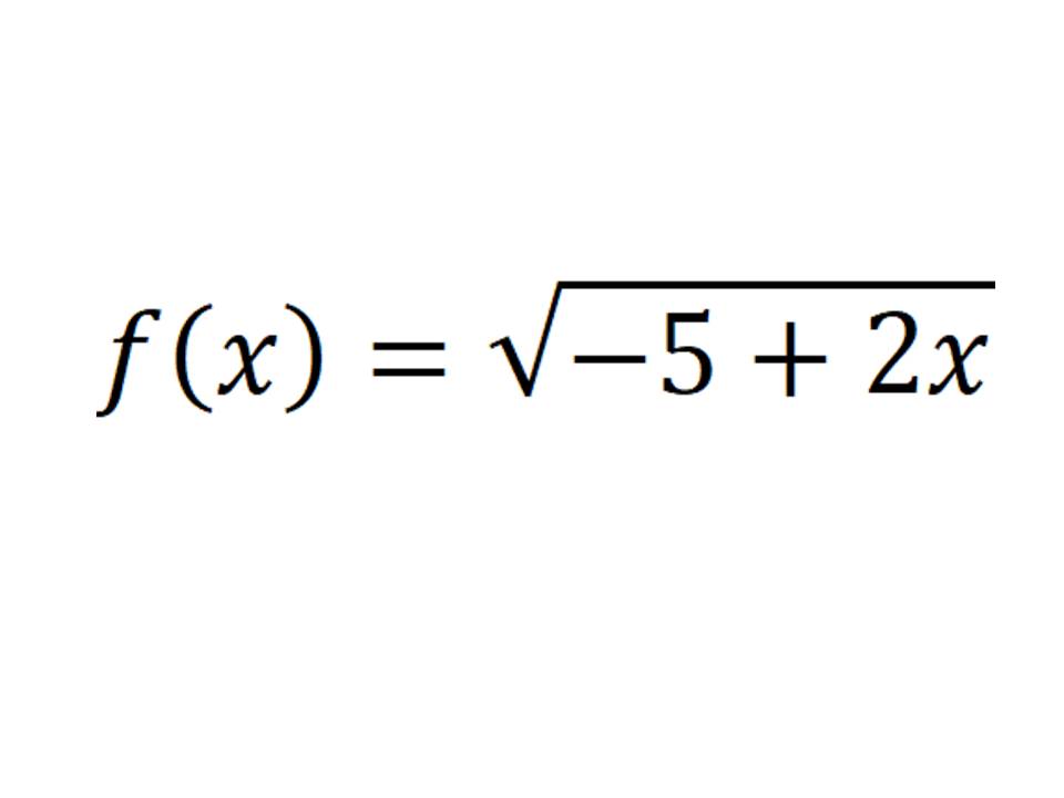
Найдите значение производной функции в точке х= 4,5
Вопрос 6
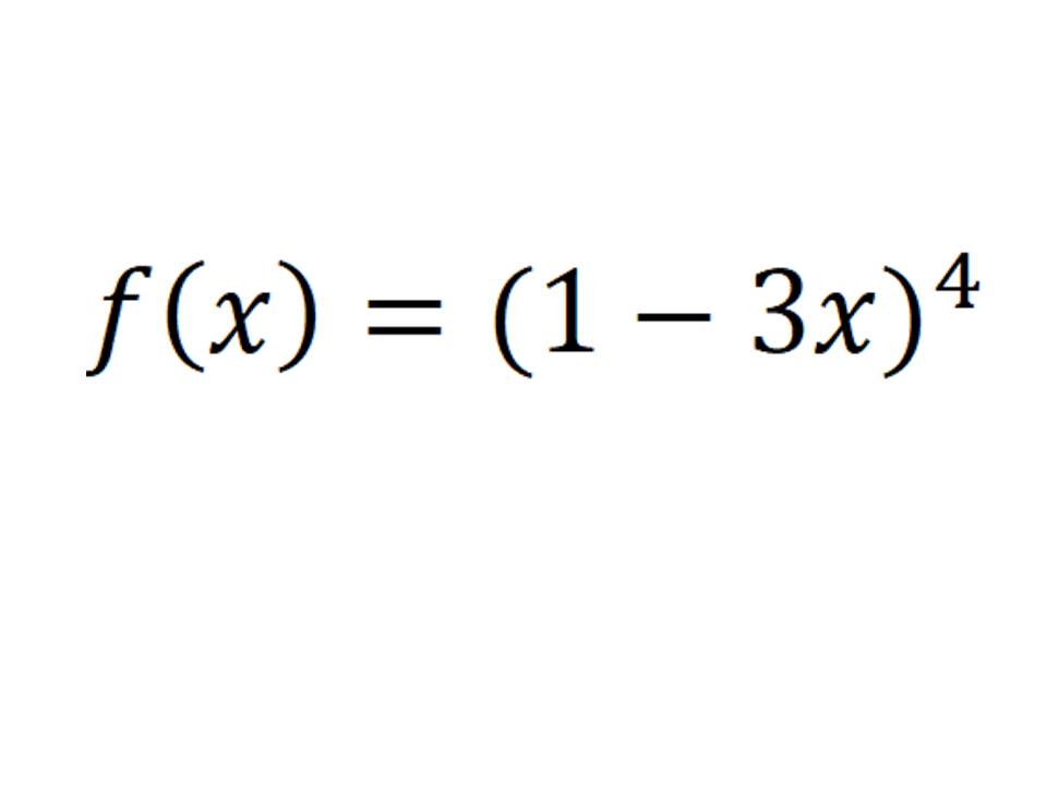
Найдите значение производной функции в точке х= -1
Ответ запишите в виде обыкновенной дроби, используя знак / ( например, 4/5)
Вопрос 7
Найдите значение производной функции в точке х= 0,3
Вопрос 8
Найдите значение производной функции в точке х= 1
Вопрос 9
Найдите значение производной функции в точке х= 2
Вопрос 10
Найдите значение производной функции в точке х= 0,5
Получите комплекты видеоуроков + онлайн версии
Пройти тест
Сохранить у себя:
Тесты по алгебре 11 класс
0
245
Нравится
0


