Производная (В2)
Боргоякова Татьяна Пантелеймоновна
15.11.2020.
Тест. Алгебра, 11 класс
Предназначена для самостоятельной работы обучающихся 11 А класса
Система оценки:
5 балльная
Список вопросов теста
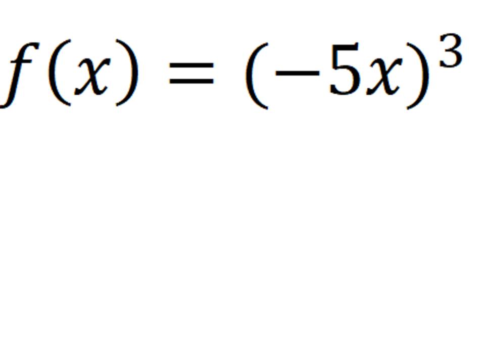
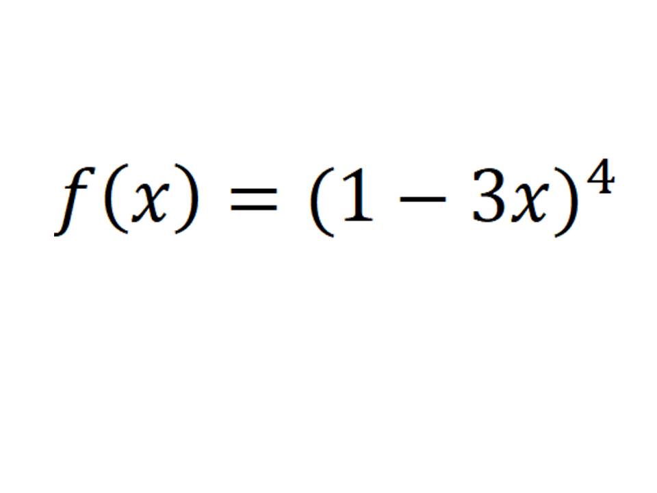
Вопрос 1
Найти значение производной функции в точке х=1
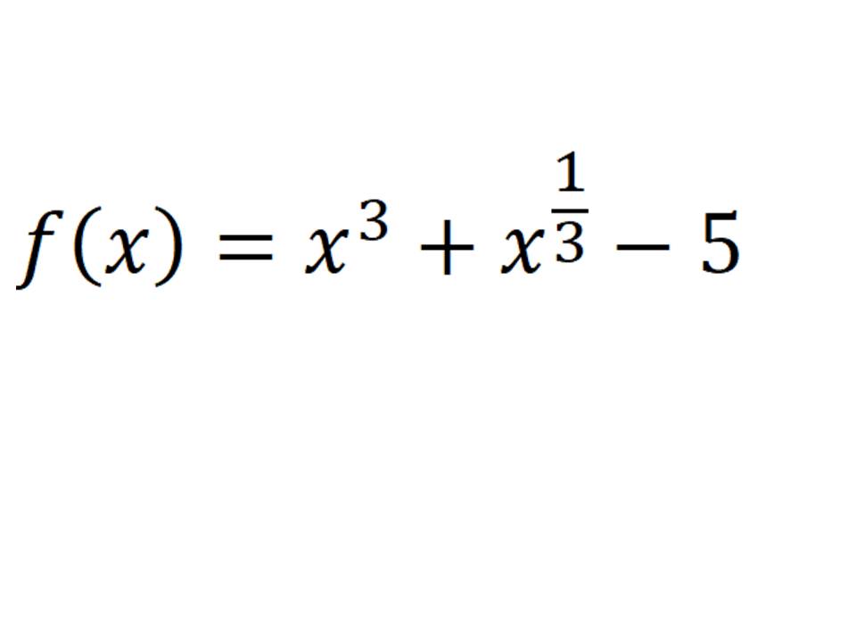
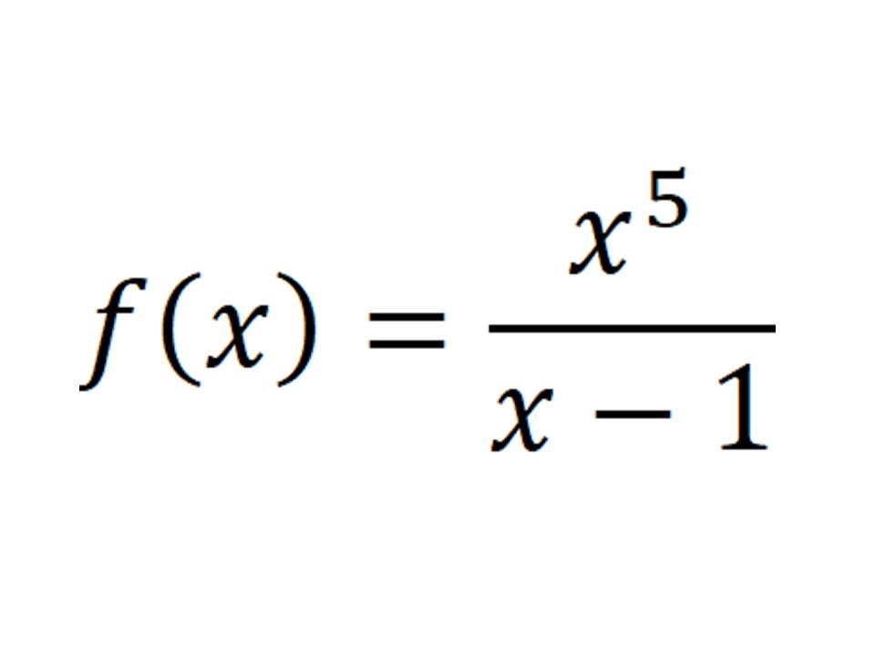
Вопрос 2
Найти значение производной функции в точке х=5
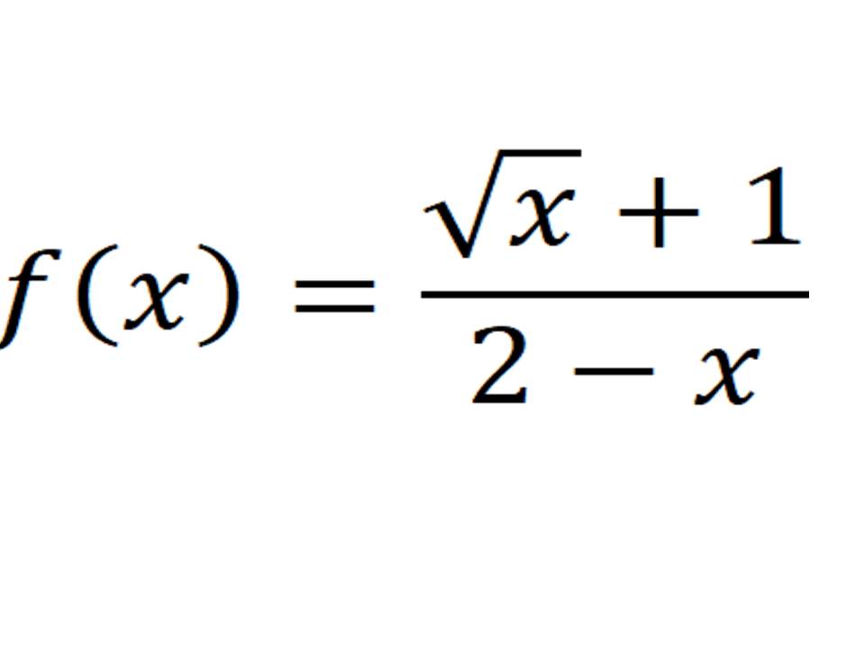
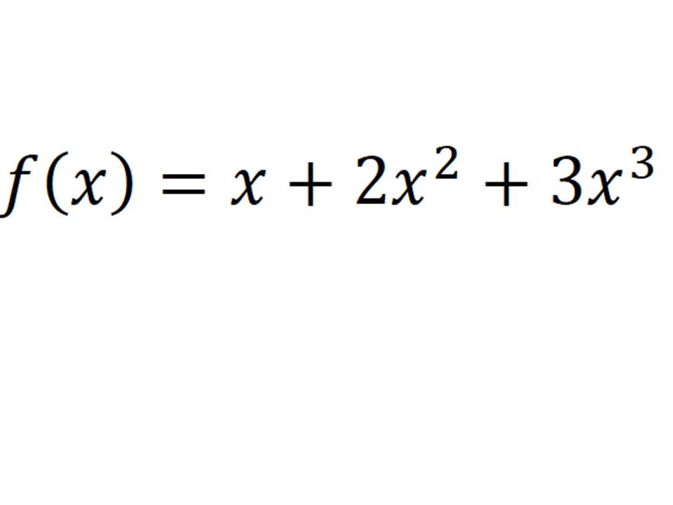
Вопрос 3
Найти значение производной функции в точке х=- 0,2
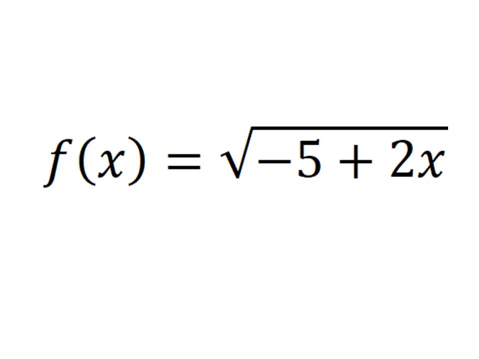
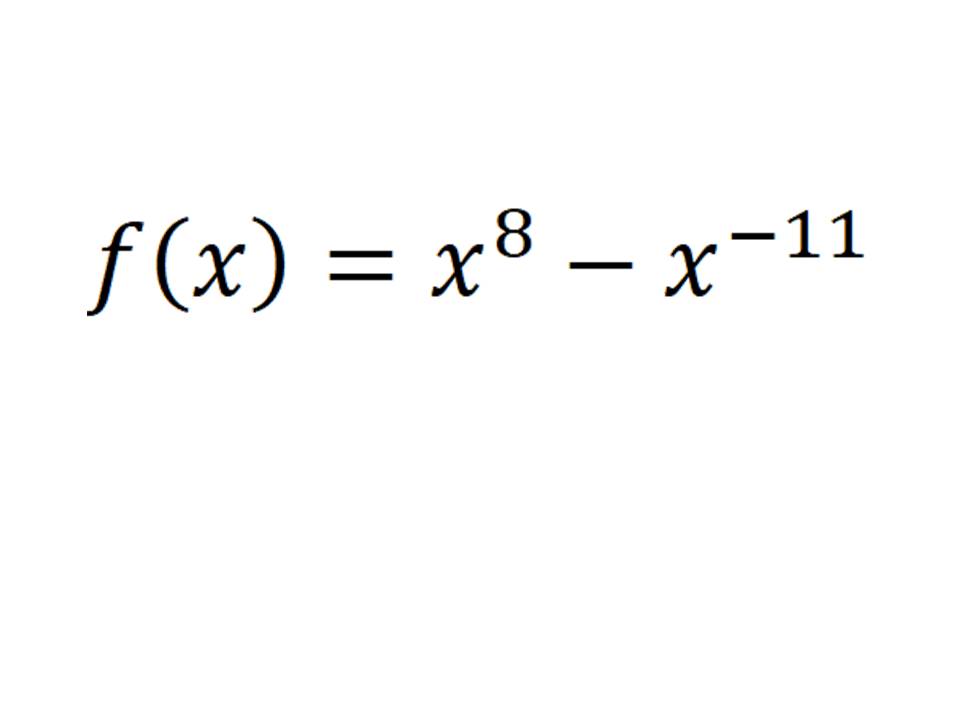
Вопрос 4
Найти значение производной функции в точке х=7
Ответ запишите в виде обыкновенной дроби, используя знак / ( например, 4/5)
Вопрос 5
Найти значение производной функции в точке х=0
Вопрос 6
Найти значение производной функции в точке х=0,5
Вопрос 7
Найти значение производной функции в точке х=1
Вопрос 8
Найти значение производной функции в точке х=2
Вопрос 9
Найти значение производной функции в точке х=1,5
Вопрос 10
Найти значение производной функции у= 0,1х+3 в точке х=7,5
Получите комплекты видеоуроков + онлайн версии
Пройти тест
Сохранить у себя:
Тесты по алгебре 11 класс
0
220
Нравится
0


