Производная (В1)
Боргоякова Татьяна Пантелеймоновна
14.11.2020.
Тест. Алгебра, 11 класс
Предназначена для самостоятельной работы для обучающихся 11 А класса.
Система оценки:
5 балльная
Список вопросов теста
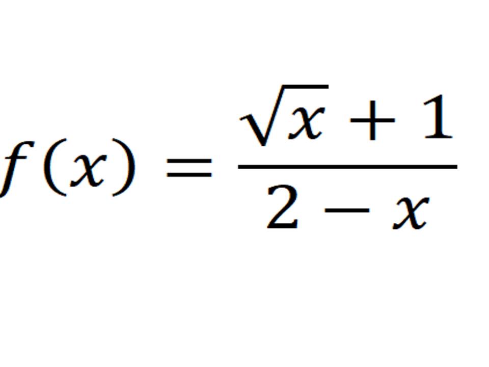
Вопрос 1
Найдите значение производной функции f(x) в точке х= 0
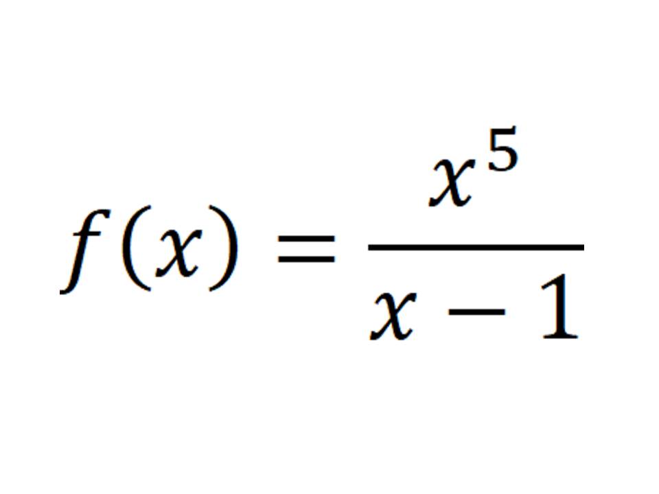
Вопрос 2
Найдите значение производной функции f(x) в точке х= -3
Вопрос 3
Найдите значение производной функции f(x) в точке х= 9
f(x)=0,1х+3
Вопрос 4
Найдите значение производной функции f(x) в точке х= 0,2
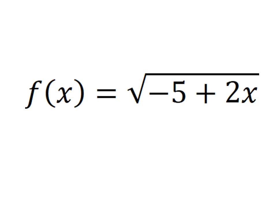
Вопрос 5
Найдите значение производной функции f(x) в точке х= 10,5
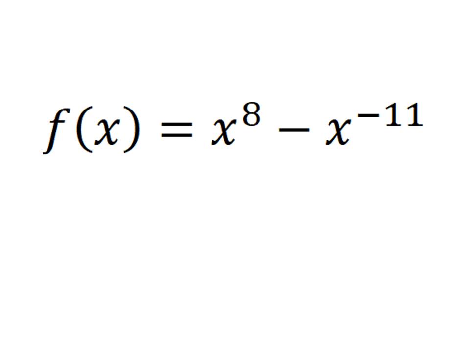
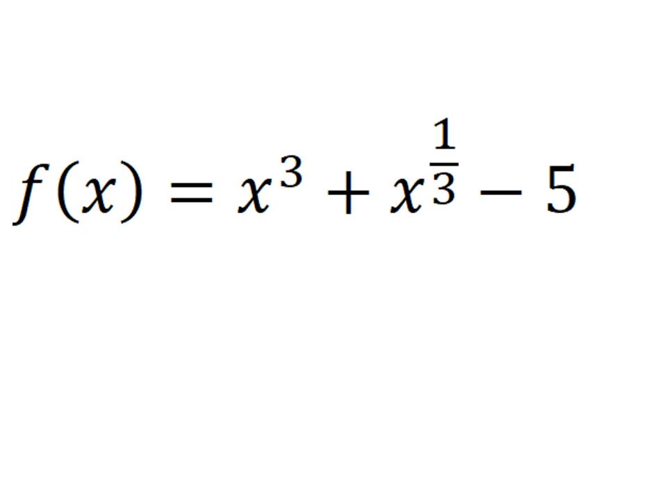
Вопрос 6
Найдите значение производной функции f(x) в точке х= 1
Ответ запишите в виде обыкновенной дроби, используя знак / ( например, 4/5)
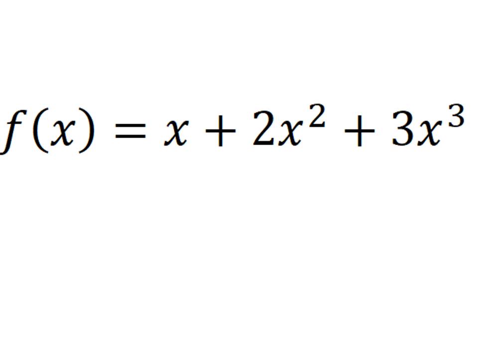
Вопрос 7
Найдите значение производной функции f(x) в точке х= - 0,5
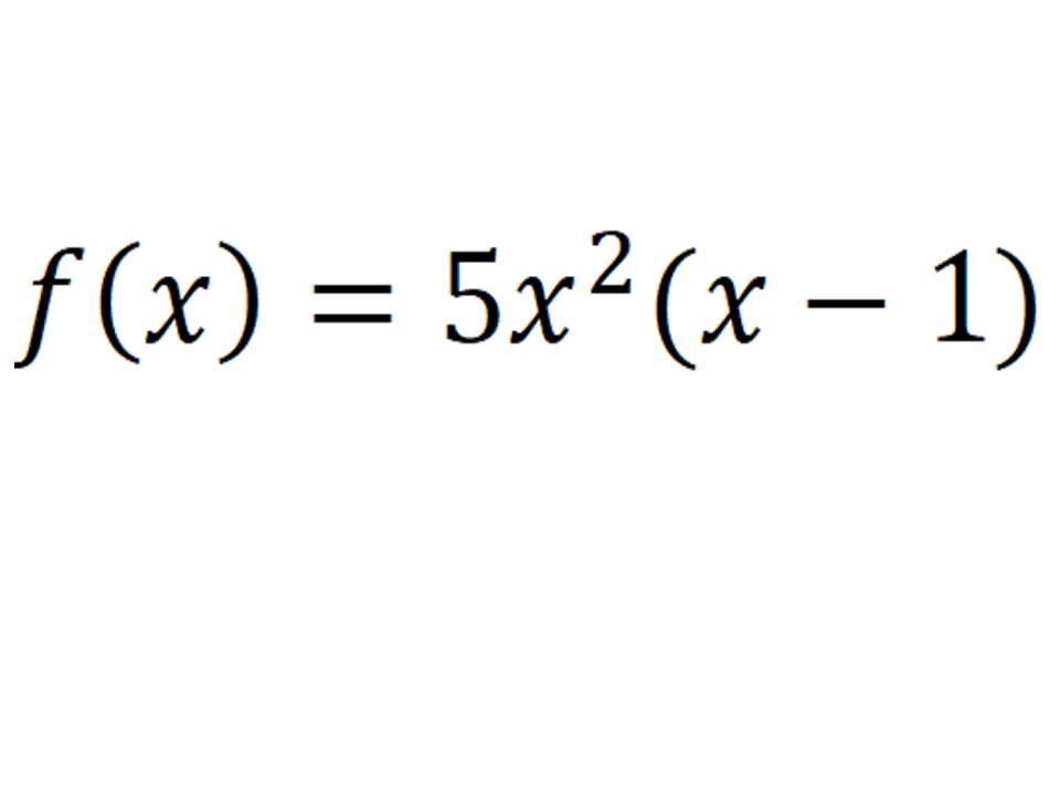
Вопрос 8
Найдите значение производной функции f(x) в точке х= 4
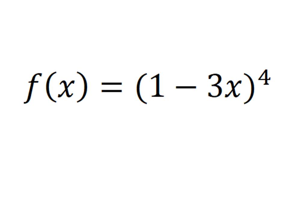
Вопрос 9
Найдите значение производной функции f(x) в точке х= 3
Вопрос 10
Найдите значение производной функции f(x) в точке х= - 1,5
Получите комплекты видеоуроков + онлайн версии
Пройти тест
Сохранить у себя:
Тесты по алгебре 11 класс
0
163
Нравится
0


