Производная
Борюшова Елена Алексеевна
22.07.2017.
Тест. Математика, 11 класс
Данный тест предназначен для 11 класса по закреплению темы Производная
Система оценки:
5 балльная
Список вопросов теста
Вопрос 1
Производная функции F(x) = cos(4x) равна:
Варианты ответов
- -4sin(4x)
- 4cos(- 4x)
- 4xsin(4x)
- 4xcos(- 4x)
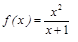
Вопрос 2
Найдите значение производной функции
при х=1
Варианты ответов
- 0,5
- -1
- -0,5
- 0,75
Вопрос 3

Варианты ответов
- 1
- 2
- 3
- 4
Вопрос 4

Варианты ответов
- 1
- 2
- 3
- 4
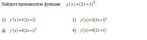
Вопрос 5

Варианты ответов
- 1
- 2
- 3
- 4
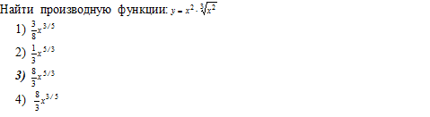
Вопрос 6

Варианты ответов
- 1
- 2
- 3
- 4
Вопрос 7

Варианты ответов
- 1
- 2
- 3
- 4
Вопрос 8

Варианты ответов
- 1
- 2
- 3
- 4
Получите комплекты видеоуроков + онлайн версии
Пройти тест
Сохранить у себя:
Тесты по математике 11 класс
0
572
Нравится
0


