Пробный вариант_ ОУП.03_Математика_Вариант 1
Список вопросов теста
Вопрос 1
Задание 1 Найдите значение выражения
\(7^{\frac{4}{9}}\times49^{\frac{5}{18}}\)
Варианты ответов
- 8
- 7
- 3/4
- -12
Вопрос 2
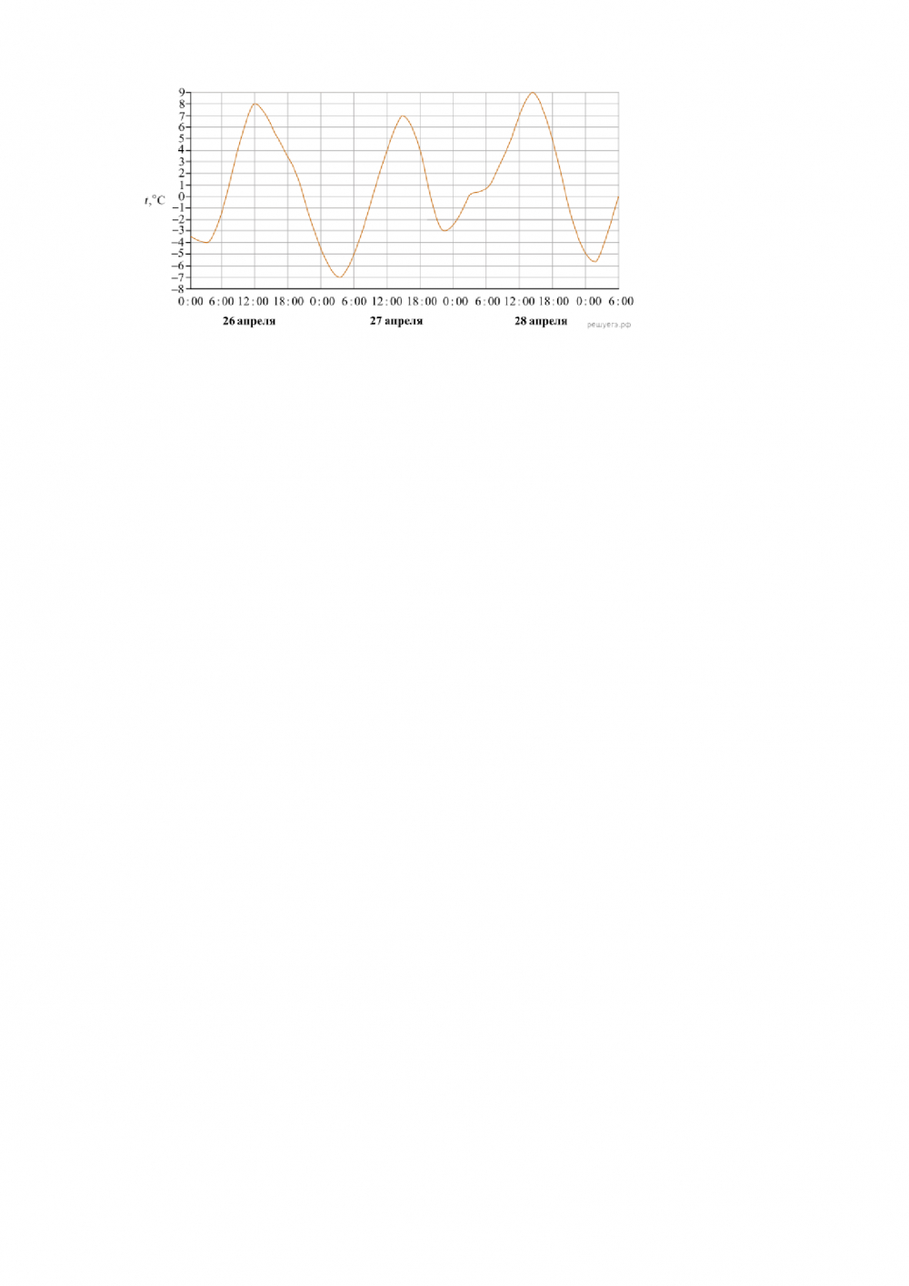
Задание 2 Чтение графиков и диаграмм
На рисунке показано изменение температуры воздуха на протяжении трех суток. По горизонтали указывается дата и время суток, по вертикали — значение температуры в градусах Цельсия. Определите по рисунку наименьшую температуру воздуха 27 апреля. Ответ дайте в градусах Цельсия.
Варианты ответов
- -7
- -5
- -12
Вопрос 3
Задание 3 Задачи на вероятность
Фабрика выпускает сумки. В среднем на 190 качественных сумок приходится восемь сумок со скрытыми дефектами. Найдите вероятность того, что купленная сумка окажется качественной. Результат округлите до сотых.
Варианты ответов
- 0,96
- 0,125
- 0,5
Вопрос 4
Задание 4 Решите уравнение
\(\sqrt{6+5х}=х\)
Если уравнение имеет более одного корня, в ответе запишите наибольший из корней.
Варианты ответов
- 6
- 1
- 4
Вопрос 5
Задание 5 Планиметрические задачи
В треугольнике ABC угол C равен 90°, АС = 4, cos A=0,5. Найдите АВ.

Варианты ответов
- 8
- 3
- 0,5
Вопрос 6
Задание 6 Геометрический смысл производной, касательная
На рисунке изображены график функции y = f(x) и касательная к нему в точке с абсциссой x0. Найдите значение производной функции f(x) в точке x0.
Варианты ответов
- -2
- 0,5
- 2
Вопрос 7
Задание 7 Стереометрические задачи
В основании прямой призмы лежит ромб с диагоналями 12 и 16. Площадь ее поверхности равно 392. Найдите боковое ребро этой призмы.
Варианты ответов
- 5
- 12
- 8
Вопрос 8
Задание 8 Найдите значение выражения: \(\frac{18\left(а^4\right)^5+14\left(а^5\right)^4}{\left(4а^{10}\right)^2}\)
Варианты ответов
- 5
- 8
- 2
Вопрос 9
Задание 9 Текстовые задачи. Задачи на движение
Баржа в 10:00 вышла из пункта А в пункт В, расположенный в 30 км от А. Пробыв в пункте В 1 час 30 минут, баржа отправилась назад и вернулась в пункт А в 22:00 того же дня. Определите (в км/ч) собственную скорость баржи, если известно, что скорость течения реки 3 км/ч.
Варианты ответов
- 7
- 10
- 6
Вопрос 10
Задание 10 Найдите разность векторов: \(\overline{а}-\overline{в}\)
Варианты ответов
- (-4;2)
- (-2;4)
- (-6;2)
Вопрос 11
Задание 11 Найдите наименьшее значение функции: \(y=3x-\ln\left(x+3\right)^3\) на отрезке [-2.5;1]
Варианты ответов
- y наим=-6, при х=-2
- y наим=6, при х=2
- y наим=8, при х=4
Вопрос 12
Задание 12 Решите уравнение:
\(\cos\ 2x+\sin^2x=0.75\)
Варианты ответов
-
\(x=\pm\frac{5\pi}{6}+2\pi n,\ n\in Z;\ x=\pm\frac{\pi}{6}+2\pi k,\ k\in Z\)
-
\(x=\pm\frac{3\pi}{4}+\pi n,\ n\in Z;\ x=\pm\frac{\pi}{2}+2\pi k,\ k\in Z\)
-
\(x=\pm\frac{\pi}{3}+\pi n,\ n\in Z;\ x=\pm\frac{2\pi}{3}+\pi k,\ k\in Z\)
Вопрос 13
Задание 13 Решите неравенство: \(2^x6\cdot2^{-x}\le7\)
Варианты ответов
-
\(\left[0;\log_2\ 6\right]\)
-
\(\left[2;\log_3\ 5\right]\)
-
\(\left[0;\log_3\ 5\right]\)
Вопрос 14
Задание 14 В сосуд, содержащий 5 литров 12−процентного водного раствора некоторого вещества, добавили 7 литров воды. Сколько процентов составляет концентрация получившегося раствора?
Варианты ответов
- 5%
- 10%
- 9%
Вопрос 15
Задание 15 Задачи на координатной плоскости
Найдите площадь ромба, изображенного на клетчатой бумаге с размером клетки 1 см 1 см (см. рис.). Ответ дайте в квадратных сантиметрах.
Варианты ответов
- 3
- 2
- 5
Вопрос 16
Задание 16
Фирме «Комета» требуется разработать логотип и фирменный стиль компании. Для этой цели фирме в банке был выдан кредит на сумму 2400000 руб.(2,4млн.руб.) сроком на 6 лет. Процентная ставка 14% годовых. Погашение кредита производится в конце каждого месяца. Определите сумму, которая должна быть выплачена фирмой за все пять лет и определите ежемесячный погасительный платеж. (по формуле \(\frac{S_n}{m\cdot n}\): ), \(S_{n\ }-\ итоговая\ сумма;\ n-\ количество\ периодов;\ m\ -\ количество\ начисленных\ поцентов\ в\ году\)Ответ округлите до десятых.
Варианты ответов
- 5532315,9 руб
- 76837,7руб.
- 6837,7руб.


