Преобразование иррациональных выражений
Будюкина Любовь Николаевна
24.11.2020.
Тест. Алгебра, 11 класс
Применять свойства корня п-й степени для преобразования иррациональных выражений, знать и применять формулу сложного радикала
Система оценки:
10 балльная
Список вопросов теста
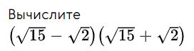
Вопрос 1
Варианты ответов
- 60
- 10
- 50
- 66
Вопрос 2
Варианты ответов
- 2
- 66
- 60
- 130
Вопрос 3
Варианты ответов
- 96
- 92
- 10
- 12
Вопрос 4
Варианты ответов
- 1
- 10
- 100
- 0,1
Вопрос 5
Варианты ответов
- m
- 0
- 21
- 3m
Вопрос 6
Варианты ответов
- А
- Б
- В
- Г
Вопрос 7
Варианты ответов
- 10
- 24
- 64
- 8
Вопрос 8
Варианты ответов
- 1
- 0
- 2
- 8
Вопрос 9
Варианты ответов
- 13
- 10
- 4
- 15
Вопрос 10
Варианты ответов
- 33
- 11
- 13,2
- 33,5
Получите комплекты видеоуроков + онлайн версии
Пройти тест
Сохранить у себя:
Тесты по алгебре 11 класс
0
1125
Нравится
0


