Тест 11 Алгебра
Автор скрыт
23.03.2020.
Тест. Алгебра, 11 класс
Повторение курса алгебры за 10-11 класс средней школы ( профильный уровень)
Система оценки:
5 балльная
Список вопросов теста
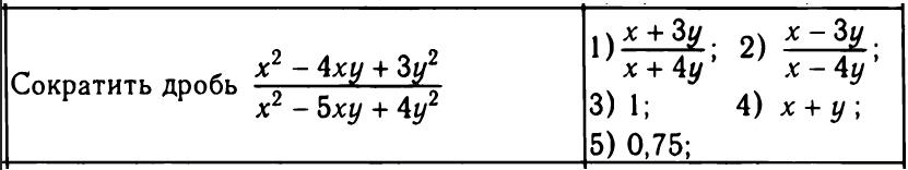
Вопрос 1

Варианты ответов
- 1
- 2
- 3
- 4
- 5
Вопрос 2

Варианты ответов
- 1
- 2
- 3
- 4
- 5
Вопрос 3

Варианты ответов
- 1
- 2
- 3
- 4
- 5
Вопрос 4

Варианты ответов
- 3
- 5
- 6
- 8
- 9
Вопрос 5

Варианты ответов
- 1
- 2
- 3
- 4
- 5
Вопрос 6

Варианты ответов
- 1
- 2
- 3
- 4
- 6
Вопрос 7

Варианты ответов
- 4
- 7
- 9
- 10
- 12
Вопрос 8

Варианты ответов
- 1
- 2
- 3
- 4
- 5
Вопрос 9

Варианты ответов
- 3
- 4
- 8
- 10
- 5
Вопрос 10

Варианты ответов
- 1
- 2
- 3
- 4
- 5
Вопрос 11

Варианты ответов
- 1
- 2
- 3
- 4
- 5
Вопрос 12

Варианты ответов
- 1
- 2
- 3
- 4
- 5
Вопрос 13

Варианты ответов
- 1
- 2
- 3
- 4
- 5
Вопрос 14

Варианты ответов
- 1
- 2
- 3
- 4
- 5
Вопрос 15

Варианты ответов
- 1
- 2
- 3
- 4
- 5
Вопрос 16

Варианты ответов
- 1
- 2
- 3
- 4
- 5
Вопрос 17

Варианты ответов
- 1
- 2
- 3
- 4
- 5
Вопрос 18

Варианты ответов
- 1
- 2
- 3
- 4
- 5
Вопрос 19

Варианты ответов
- 1
- 2
- 3
- 4
- 5
Вопрос 20

Варианты ответов
- 1
- 2
- 3
- 4
- 5
Вопрос 21

Варианты ответов
- 1
- 2
- 3
- 4
- 5
Вопрос 22

Варианты ответов
- 1
- 2
- 3
- 4
- 5
Вопрос 23

Варианты ответов
- 1
- 2
- 3
- 4
- 5
Получите комплекты видеоуроков + онлайн версии
Пройти тест
Сохранить у себя:
Тесты по алгебре 11 класс
0
231
Нравится
0


