Повторение курса алгебры за 7-9 класс
Автор скрыт
02.06.2020.
Тест. Алгебра, 9 класс
Основные вопросы повторения курса алгебры 7-9 класса
Система оценки:
5* балльная
Список вопросов теста
Вопрос 1

Варианты ответов
- 50
- 60
- 70
- 80
- 75
Вопрос 2

Варианты ответов
-
х \(>\) 7
-
х \(>\)- 7
-
х \(<\)- 7
-
х \(<\) 7
Вопрос 3

Варианты ответов
-
\(\frac{1}{n}\), 1 , \(\frac{1}{m}\)
-
1, \(\frac{1}{m}\),\(\frac{1}{n}\)
-
1, \(\frac{1}{n}\),\(\frac{1}{m}\)
-
\(\frac{1}{m},\ 1,\ \frac{1}{n}\)
Вопрос 4

Варианты ответов
-
x \(<\)\(\frac{2}{3}\)
-
х \(>\) \(\frac{2}{3}\)
-
x \(<\) \(\frac{\sqrt{11}}{3}\)
-
Решений нет
-
х \(>\) 0,5 \(\sqrt{11}\)
Вопрос 5

Варианты ответов
-
1
-
2
-
3
-
4
Вопрос 6

Варианты ответов
-
28
-
32
-
40
-
60
Вопрос 7

Варианты ответов
-
2,5
-
3
-
3,5
-
2
Вопрос 8

Варианты ответов
-
81
-
-81
-
-9
-
9
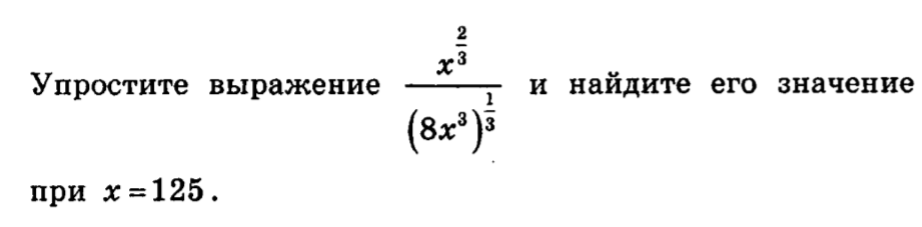
Вопрос 9

Вопрос 10

Получите комплекты видеоуроков + онлайн версии
Пройти тест
Сохранить у себя:
Тесты по алгебре 9 класс
0
216
Нравится
0


