Контрольная работа ЕН.01 Математика
Список вопросов теста
Вопрос 1

Варианты ответов
- а
- б
- в
- г
Вопрос 2

Варианты ответов
- а
- б
- в
- г
Вопрос 3
Материальная точка движется по закону:
\(S\left(t\right)=t^{2^{ }}+3t-2\)
определите ее скорость в момент времени t = 1сек
Варианты ответов
- 2
- 4
- 5
- 8
Вопрос 4


Варианты ответов
- а
- б
- в
- г
Вопрос 5

Варианты ответов
- А
- Б
- В
- Г
Вопрос 6

Вопрос 7

Вопрос 8

Варианты ответов
- 0
- 8
- 1
- бесконечность
Вопрос 9
Укажите уравнение, которое НЕ является дифференциальным

Варианты ответов
- а
- б
- в
- г
Вопрос 10
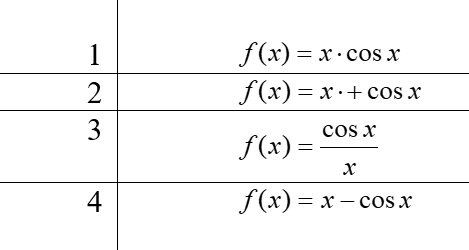
Установите соответствие между функцией и ее произволной
Функции

Производные

1.
1
2.
2
3.
3
4.
4
Варианты ответов
- В
- Б
- Г
- А
Вопрос 11
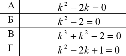
Установите соответствие между однородным линейным дифференциальным уравнением второго порядка с постоянными коэффициентами и соответствующим ему характеристическим уравнением.
Дифференциальное уравнение

Характеристическое уравнение

1.
1
2.
2
3.
3
4.
4
Варианты ответов
- Г
- Б
- А
- В
Вопрос 12

РАВЕН

Варианты ответов
- а
- б
- в
- г
Вопрос 13

Варианты ответов
- Знакочередующимся
- Знакоположительным
- Степенным
- Функциональным
Вопрос 14

Варианты ответов
- Ряд сходится
- Ряд расходится
- Данный ряд может как сходиться, так и расходиться
- Ряд не существует
Вопрос 15
Множество состящее из корней уравнения х2+1=0 является ...?
Варианты ответов
- Конечным
- Бесконечным
- Пустым
- Дискретным
Вопрос 16
Установите соответсвие
1.
Коенчное множество
2.
Бесконечное множество
3.
Дискретное множество
4.
Пустое множество
Варианты ответов
- Множество букв
- Множество чисел
- Множество действительных корней квадратного уравнения с отрицательным дискриминантом
- Множество пассажиров в автобусе
- Множество автомобилей на автостоянке
- Множество цифр
Вопрос 17
Даны множества А и В. На рисунке штриховкой показано

1.
Перресечени множеств А и В
2.
Дополнение множества В до А
3.
Разность множеств А и В
4.
Объединение множеств А и В
Варианты ответов
- А
- Г
- В
- Б
Вопрос 18
По цели проведено 10 выстрелов, зафиксировано 7 попаданий. Найдите вероятность попадания в мишень
Вопрос 19
В цепи две лампы, вероятность того, что сгорит первая, равна 0,4; вероятность того, что сгорит вторая, равна 0,1. Найдите вероятность того, хотя бы одна лампа работает
Вопрос 20

Вопрос 21
Выберите утверждение, которое не является логическим высказыванием
Варианты ответов
- Луна спутник Земли
- Земля спутник Луны
- Солнце - это планета
- Стоп!
Вопрос 22
Определить какие из множеств является подмножеством А = {10, 20, 30, 40, 50, 60}
Варианты ответов
- {10, 20, 30, 40, 50, 60, 70}
- {10}
- {10, 35}
- {10, 30, 50}
Вопрос 23

Варианты ответов
- Ряд сходится
- Ряд расходится
- Ряд может как сходиться так и расходиться
- Определить нельзя
Вопрос 24

Варианты ответов
- бесконечность
- 1
- 2
- 0,5
- Другой ответ
Вопрос 25
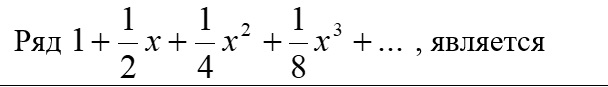
Установите соответствие между рядом и его названием

1.
Знакоположительный
2.
Знакочередующийся
3.
Степенной
4.
Функциональный
Варианты ответов
- В
- А
- Б
- Г
Вопрос 26
Установите соответствие между рядом и его формулой

1.
1
2.
2
3.
3
4.
4
Варианты ответов
- А
- Б
- В
- Г
Вопрос 27
Пересечение множеств А и В – это:
Варианты ответов
- множество, состоящее из тех элементов, которые входят хотя бы в одно из множеств А или В
- множество, состоящее из тех элементов, которые принадлежат и множеству А, и множеству B
- множество, состоящее из всех элементов А, не входящих в В
- нет верного ответа
Вопрос 28
Истинными являются следующие утверждения о числовых множествах...
Варианты ответов
- множество целых чисел является подмножеством натуральных чисел
- множество иррациональных чисел является подмножеством действительных чисел
- множество корней уравнения х – 4 = 0 является подмножеством целых чисел
- промежуток [-1;12 ] является подмножеством отрезка [0;12 ]
- промежуток [0;12 ] является подмножеством отрезка [-1;12 ]
Вопрос 29
Найдите число элементов объединения множеств N={22, 23, 24, 25} и K={24, 25, 26}
Варианты ответов
- 5
- 7
- 10
- 12
- 2
Вопрос 30
Какое из множеств определяет А∪ В, если А={2;4;6;8;10} В={8;10;12;14}
Варианты ответов
- {8;10;12;14}
- {8;10}
- {2;4;6;8}
- {2;4;6;8;10;12;14}
Вопрос 31
Какое из множеств определяет А ∩ В, если
А={1; 3; 5;7;9} В={1;2;3;4}
Варианты ответов
- {1;3;5;7}
- {1;2;3;4;5;7;9}
- {1;3}
- {1}
Вопрос 32
Какое из множеств определяет А \ В,
если А={2;4; 6;8;10},В={2;4;8;9}
Варианты ответов
- {2;4; 6;8;10}
- {2;4;8;9}
- {2;4;8}
- {6;10}
Вопрос 33
Предложение, в отношении которого можно однозначно сказать истинно оно или ложно, это - …?
Варианты ответов
- Высказывание
- Предложение
- Утверждение
- Теорема
- Аксиома
Вопрос 34
Если высказыванию в соответствие ставится новое высказывание, значение которого противоположно исходному это - …?
Варианты ответов
- Дизъюнкция
- Конъюнкция
- Импликация
- Эквиваленция
- Отрицание
Вопрос 35
Высказывание, которое истинно тогда и только тогда, когда только одно из высказываний истинно это - …?
Варианты ответов
- Дизъюнкция
- Конъюнкция
- Импликация
- Эквиваленция
- Отрицание
- Исключающая дизъюнкция
Вопрос 36
Высказывание, которое ложно тогда и только тогда, когда оба высказывания ложны это - …?
Варианты ответов
- Дизъюнкция
- Конъюнкция
- Импликация
- Эквиваленция
- Отрицание
- Исключающая дизъюнкция
Вопрос 37
Задача для решения которой Леонард Эйлер применил теорию графов, это задача о...?
Варианты ответов
- о Нью-йоркских Авеню
- о Московском метро
- о Кенигсбергских мостах
- о Российских дорогах
Вопрос 38
Как называются две вершины соединенные одним ребром?
Варианты ответов
- Смежные
- Соответственные
- Вертикальные
- Односторонние
Вопрос 39
Как называются ребра, соединяющие одну и ту же пару вершин?
Варианты ответов
- Смежные
- Параллельные
- Кольцевые
- Последовательные
- Пелевые
Вопрос 40
Как называется граф который представляет собой чередующуюся последовательность вершин и ребер, где каждые два соседних ребра имеют общую вершину?
Варианты ответов
- Путь
- Маршрут
- Цепь
- Цикл
- Дерево
Вопрос 41
Как называется замкнутый маршрут?
Варианты ответов
- Путь
- Маршрут
- Цепь
- Цикл
- Дерево
- Петля
Вопрос 42
Как называется замкнутый путь?
Варианты ответов
- Путь
- Маршрут
- Цепь
- Цикл
- Контур
Вопрос 43
Сколькими способами на полке можно расставить 8 книг
Варианты ответов
- 120
- 720
- 64
- Нет верного ответа
Вопрос 44
В мегазине есть ромашки, хризантемы, розы, гвоздики, герберы, геацинты, тюльпаны и лилии. Сколькими способами можно сотсавть букет из трех различных цветов
Варианты ответов
- 336
- 56
- 24
- Нет верного ответа
Вопрос 45
Сколькими способами можно распределить призовые места между 5 командами
Варианты ответов
- 120
- 20
- 125
- 10
- Нет верного ответа
Вопрос 46
В сборнике билетов по математике всего 20 билетов, в 9 из них встречается вопрос по теме "Геометрия". Найдите вероятность того, что в случайно выбранном на экзамене билете школьнику достанется вопрос по теме "Геометрия".
Вопрос 47
На борту самолёта 10 мест рядом с запасными выходами и 11 мест за перегородками, разделяющими салоны. Остальные места неудобны для пассажира высокого роста. Пассажир В. высокого роста. Найдите вероятность того, что на регистрации при случайном выборе места пассажиру В. достанется удобное место, если всего в самолёте 100 мест.
Вопрос 48
В кармане у Пети было 2 монеты по 5 рублей и 4 монеты по 10 рублей. Петя, не глядя, переложил какие-то 3 монеты в другой карман. Найдите вероятность того, что пятирублевые монеты лежат теперь в разных карманах.
Варианты ответов
- 0,6
- 0,4
- 0,45
- 0,5
- 0,975
Вопрос 49
Вероятность того, что на тестировании по математике учащийся П. верно решит больше 7 задач, равна 0,78. Вероятность того, что П. верно решит больше 6 задач, равна 0,89. Найдите вероятность того, что П. верно решит ровно 7 задач.
Вопрос 50
На область, имеющую форму квадрата случайным образом бросают материальную точку. Найдите вероятность того, что она попадет в серую зону.

1.
1
2.
2
3.
3
4.
4
Варианты ответов
- 0,4375
- 0,5
- 0,125
- 0,75
Вопрос 51
Чему равна действительная часть комплексного числа Z=2+3i?
Вопрос 52
Чему равна мнимая часть комплексного числа Z=20+i?
Вопрос 53
Cуммой чисел (2-9i)+(6-i) является число
Варианты ответов
- 8+10i
- -7+5i
- 8-10i
- 8-8i
Вопрос 54
Разностью чисел (2-9i) и (6-i) является число
Варианты ответов
- -4-8i
- -4-10i
- 8-8i
- 8-10i
Вопрос 55
Найдите модуль комплексного числа 4+3i
Вопрос 56
Комплексно-сопряженным для числа 2-8i является
Варианты ответов
- -2+8i
- 2+8i
- 8-2i
- 8+2i
Вопрос 57
Результатом произведения чисел (5+2i)(5-2i) является число
Варианты ответов
- 21
- 9
- 29
- 25- 4i
- 25+4i
Вопрос 58
Какие формы комплексного числа существуют
Варианты ответов
- Алгебраическая
- Тригонометрическая
- Показательная
- Аналитическая
- Потенциальная
- Эйлерова
Вопрос 59
Если для любого х выполняется условие хρх, то это бинарное отношение
Варианты ответов
- Симметрично
- Транзитивно
- Рефлексивно
- Антисимметрично
Вопрос 60
Пусть А = {5, 6, 7}, В = {1, 0}.
Тогда А´В равно?
Варианты ответов
- {(5, 1), (5, 0), (6, 1),(6, 0), (7, 1), (7, 0)}
- {(5, 1), (6, 0), (7,0)}
- {(1, 5), (1, 6), (1, 7), (0, 5), (0, 6), (0, 7)}
- {(5, 1), (5, 0), (6, 1),(6, 0), (7, 1), (7, 0), (5,5), (6,6), (7,7), (1,1), (0,0)}


