Подготовка к ВПР 7 класс
Автор скрыт
09.04.2020.
Тест. Математика, 7 класс
Решить каждое задание и выбрать единственный ответ из предложенных
Система оценки:
5 балльная
Список вопросов теста
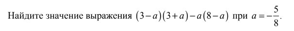
Вопрос 1

Вопрос 2

Вопрос 3

Вопрос 4

Вопрос 5

Вопрос 6

Варианты ответов
- 1
- 2
- 3
- 4
Вопрос 7

Варианты ответов
- от 10 до 20
- от 20 до 30
- от 30 до 40
Вопрос 8

Вопрос 9

Вопрос 10

Вопрос 11

Вопрос 12
Выберите вариант, в котором верно перечислено количество посетителей катка на каждом сеансе.
Варианты ответов
- 10,14,16,20,23,16,20,25
- 10,13,16,20,23,15,20,25
- 10,13,16,22,23,15,20,24
Получите комплекты видеоуроков + онлайн версии
Пройти тест
Сохранить у себя:
Тесты по математике 7 класс
0
236
Нравится
0


