Подготовка к ОГЭ (6-20)
Гришина Надежда Дмитриевна
24.11.2020.
Тест. Математика, 9 класс
Тест включает задания ОГЭ первой части с 6 по 20. Необходимо указывать ответ в соответствии с правилами ОГЭ.
Система оценки:
5 балльная
Список вопросов теста
Вопрос 1

Вопрос 2

Вопрос 3

Вопрос 4

Вопрос 5

Вопрос 6

Вопрос 7

Вопрос 8

Вопрос 9

Вопрос 10

Вопрос 11

Вопрос 12

Вопрос 13

Вопрос 14

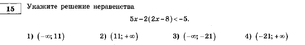
Вопрос 15

Получите комплекты видеоуроков + онлайн версии
Пройти тест
Сохранить у себя:
Тесты по математике 9 класс
0
155
Нравится
0


