Подготовка к ОГЭ
Список вопросов теста
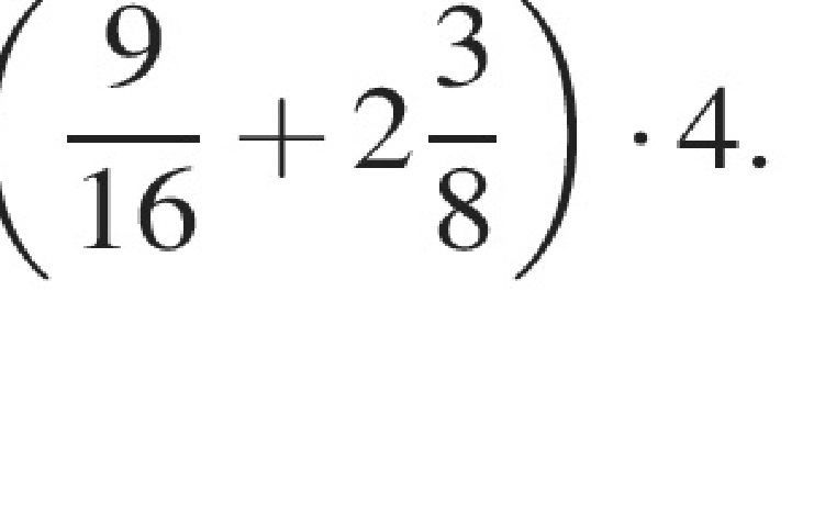
Вопрос 1
Найдите значение выражения

Вопрос 2
В таблице приведены размеры штрафов за превышение максимальной разрешённой скорости, зафиксированное с помощью средств автоматической фиксации, установленных на территории России с 1 сентября 2013 года.
|
Превышение скорости, км/ч |
21—40 |
41—60 |
61—80 |
81 и более |
|
Размер штрафа, руб. |
500 |
1000 |
2000 |
5000 |
Какой штраф должен заплатить владелец автомобиля, зафиксированная скорость которого составила 90 км/ч на участке дороги с максимальной разрешённой скоростью 40 км/ч?
1) 500 рублей
2) 1000 рублей
3) 2000 рублей
4) 5000 рублей
Варианты ответов
- 1
- 2
- 3
- 4
Вопрос 3
Какое из приведенных ниже неравенств является верным при любых значениях a и b, удовлетворяющих условию a > b?
1) b − a < −2
2) a − b > −1
3) a − b < 3
4) b − a > −3
Варианты ответов
- 1
- 2
- 3
- 4
Вопрос 4
На рисунке показано, как изменялась температура воздуха на протяжении одних суток. По горизонтали указано время суток, по вертикали — значение температуры в градусах Цельсия. Найдите наименьшее значение температуры. Ответ дайте в градусах Цельсия.
Варианты ответов
- -8
- -12
- -7
- -14
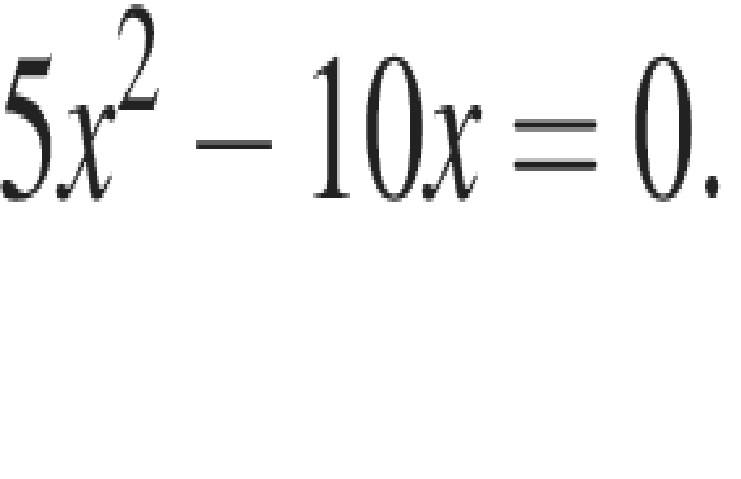
Вопрос 5
Найдите корни уравнения 
Если корней несколько, запишите в ответ наибольший из корней
Вопрос 6
Городской бюджет составляет 78 млн рублей, а расходы на одну из его статей составили 10%. Сколько рублей потрачено на эту статью бюджета?
Вопрос 7
Стас, Денис, Костя, Маша, Дима бросили жребий — кому начинать игру. Найдите вероятность того, что начинать игру должна будет девочка.
Вопрос 8
На рисунке изображены графики функций вида y = ax2 + bx + c. Установите соответствие между графиками функций и знаками коэффициентов a и c.
ГРАФИКИ
|
А) |
Б) |
В) |
КОЭФФИЦИЕНТЫ
1) a<0, c>0
2) a>0, c>0
3) a>0, c<0
В таблице под каждой буквой укажите соответствующий номер.
|
А |
Б |
В |
|
|
|
|
В ответ запишите цифры из таблицы без пробелов и запятых
Вопрос 9
Чтобы перевести значение температуры по шкале Цельсия (t °C) в шкалу Фаренгейта (t °F), пользуются формулой F = 1,8C + 32 , где C — градусы Цельсия, F — градусы Фаренгейта. Какая температура по шкале Фаренгейта соответствует 111° по шкале Цельсия?
Вопрос 10
Пол комнаты, имеющей форму прямоугольника со сторонами 4 м и 9 м, требуется покрыть паркетом из прямоугольных дощечек со сторонами 10 см и 25 см. Сколько потребуется таких дощечек?
Вопрос 11
Точки M и N являются серединами сторон AB и BC треугольника ABC, сторона AB равна 31, сторона BC равна 42, сторона AC равна 50. Найдите MN
Вопрос 12
В треугольнике ABC отмечены середины M и N сторон BC и AC соответственно. Площадь треугольника CNM равна 38. Найдите площадь четырёхугольника ABMN.
Вопрос 13
На клетчатой бумаге с размером клетки 1 см х 1 см отмечены точки A, B и C. Найдите расстояние от точки A до середины отрезка BC. Ответ выразите в сантиметрах

Вопрос 14
Какое из следующих утверждений верно?
1) Если в параллелограмме диагонали равны и перпендикулярны, то этот параллелограмм — квадрат.
2) Смежные углы равны.
3) Каждая из биссектрис равнобедренного треугольника является его высотой.
Варианты ответов
- 1
- 2
- 3


