Подготовка к ОГЭ 2
Гришина Надежда Дмитриевна
04.10.2022.
Тест. Математика, 9 класс
Тест содержит 15 базовых заданий из курса алгебры и геометрии
Система оценки:
5 балльная
Список вопросов теста
Вопрос 1

Вопрос 2

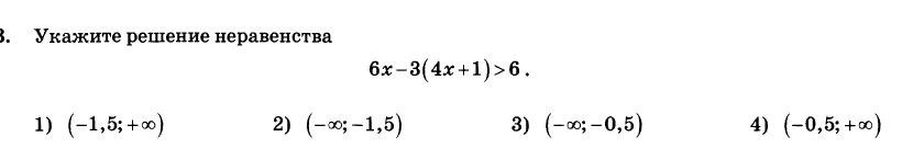
Вопрос 3

Вопрос 4

Вопрос 5

Вопрос 6

Вопрос 7

Вопрос 8

Вопрос 9

Вопрос 10

Вопрос 11

Вопрос 12

Вопрос 13

Вопрос 14

Получите комплекты видеоуроков + онлайн версии
Пройти тест
Сохранить у себя:
Тесты по математике 9 класс
0
192
Нравится
0


