Площадь треугольника
Автор скрыт
07.12.2017.
Тест. Геометрия, 9 класс
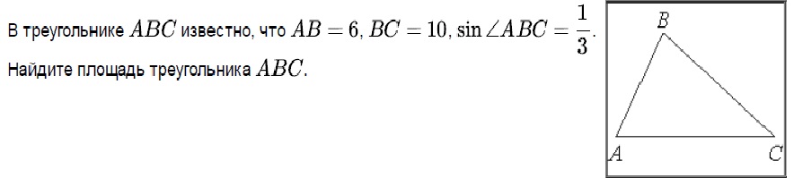
Площадь треугольника равна половине произведения двух его сторон на синус угла между ними:
S = 1/2 * a * b * sin C
Система оценки:
5 балльная
Список вопросов теста
Вопрос 1

Вопрос 2

Вопрос 3

Вопрос 4
Найти площадь треугольника XYZ, если XY = 12, YZ = 14, угол Y = 150 градусов.
Вопрос 5

Вопрос 6

Получите комплекты видеоуроков + онлайн версии
Пройти тест
Сохранить у себя:
Тесты по геометрии 9 класс
0
672
Нравится
0


