Первообразная
Автор скрыт
24.05.2020.
Тест. Алгебра, 11 класс
Будьте внимательны! У Вас есть 10 минут на прохождение теста. Система оценивания - 5 балльная. Разбалловка теста - 3,4,5 баллов, в зависимости от сложности вопроса. Порядок заданий и вариантов ответов в тесте случайный. С допущенными ошибками и верными ответами можно будет ознакомиться после прохождения теста. Удачи!
Система оценки:
5 балльная
Список вопросов теста
Вопрос 1
Варианты ответов
Вопрос 2
Варианты ответов
- да
- нет
Вопрос 3
1.
2.
3.
4.
Варианты ответов
Вопрос 4
Выберите верные утверждения:
Варианты ответов
Вопрос 5
Выберите неверные утверждения:
Варианты ответов
Вопрос 6
Вопрос 7
Варианты ответов
Вопрос 8
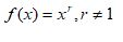
Какие из нижеприведенных функций являются первообразной для функции
Варианты ответов
Вопрос 9
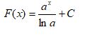
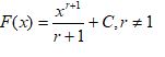
Какие из нижеприведенных функций не являются первообразной для функции
Варианты ответов
Вопрос 10
Варианты ответов
Получите комплекты видеоуроков + онлайн версии
Пройти тест
Сохранить у себя:
Тесты по алгебре 11 класс
0
1112
Нравится
0


