Переменный ток и электромагнитные колебания
Список вопросов теста
Вопрос 1
На рис. показан график зависимости силы переменного тока от времени. В ... четверть периода ток имеет такое же направление, как и в первую четверть.

Варианты ответов
- II
- IV
- II и IV
- II, III, IV
Вопрос 2
Переменный ток периодически изменяется ... с течением времени.
Варианты ответов
- По величине
- По направлению
- И по величине и по направлению
Вопрос 3
Тепловая энергия, выделяемая переменным током, определяется его ... значением.
Варианты ответов
- Средним
- Максимальным
- Действующим
Вопрос 4
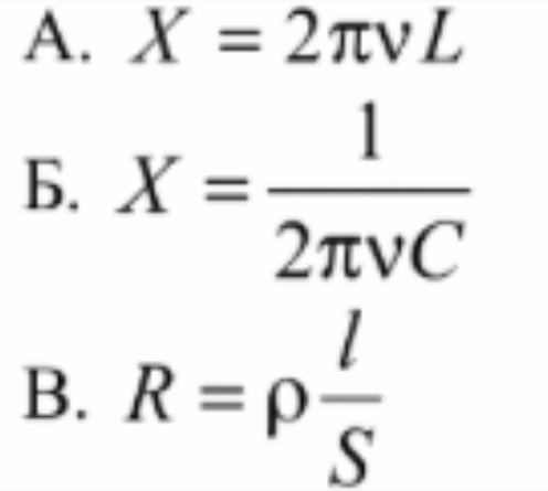
Действующее и максимальное значения силы переменного тока связаны формулой ...

Варианты ответов
- А.
- Б.
- В.
Вопрос 5
Емкостное сопротивление в цепи переменного тока создает ...
Варианты ответов
- Резистор
- Конденсатор
- Катушка
Вопрос 6
Индуктивное сопротивление в цепи переменного тока создает ...
Варианты ответов
- Резистор
- Конденсатор
- Катушка
Вопрос 7
Не пропускает постоянный ток...
Варианты ответов
- Резистор
- Конденсатор
- Катушка
Вопрос 8
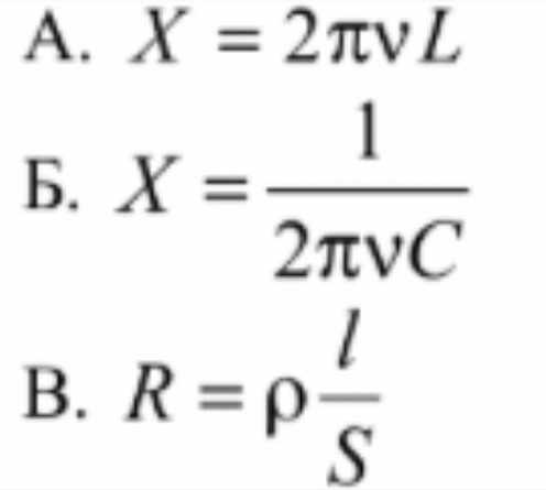
Емкостное сопротивление рассчитывается по формуле ...

Варианты ответов
- А.
- Б.
- В.
Вопрос 9
Индуктивное сопротивление рассчитыва-ется по формуле ...

Варианты ответов
- А.
- Б.
- В.
Вопрос 10
Емкостное сопротивление
возникает потому, что ...
Варианты ответов
- при зарядке конденсатора его электрическое поле противодействует движению зарядов
- между пластинами конденсатора находится изолятор
- пластины конденсатора обладают сопротивлением
Вопрос 11
Индуктивное сопротивление
возникает потому, что ...
Варианты ответов
- при прохождении тока по катушке соседние витки притягиваются друг к другу
- индукционный ток препятствует изменениям переменного тока
- нагревается сердечник катушки
Вопрос 12
Колебательный контур состоит из соединённых...
Варианты ответов
- катушки и реостата
- конденсатора и реостата
- катушки и конденсатора
Вопрос 13
В некоторый момент времени в катушке колебательного контура сила тока максимальна. При этом заряд конденсатора ...

Варианты ответов
- А.
- Б.
- В.
Вопрос 14
Период колебаний в колебательном контуре вычисляется по формуле ...

Варианты ответов
- А.
- Б.
- В.
Вопрос 15
|
В формуле для расчета периода колебаний в колебательном контуре величинам период колебаний, емкость, индуктивность соответствуют обозначения ... |
Варианты ответов
- C, L, T
- Т, С, L
- L, C, T
Вопрос 16
|
В процессе колебаний в колебательном контуре сохраняется неизменной в любой момент времени ... энергия. |
Варианты ответов
- магнитная
- электрическая
- полная
Вопрос 17
В некоторый момент времени напряжение на конденсаторе колебательного контура равнонулю.Выберите правильные утверждения: а) заряд конденсатора равен нулю, б) сила тока в катушке равна нулю, в) сила в катушке макси-мальна.
Варианты ответов
- а) и б)
- а) и в)
- Только а)
Вопрос 18
При электрическом резонансе энергия генератора потребляется ...
Варианты ответов
- Катушкой
- Резистором
- Конденсатором
Вопрос 19
Трансформатор предназначен для...
Варианты ответов
- изменения напряжения переменного тока
- плавного регулирования напряжения в цепи
- преобразования постоянного тока в переменной
Вопрос 20
На катушках трансформатора одинаковы ... переменного тока.
Варианты ответов
- Частоты
- Напряжения
- Значения сил токов
Вопрос 21
... не является составной частью трансформатора
Варианты ответов
- Катушка
- Сердечник
- Статор
Вопрос 22
Переменный магнитный поток создается в трансформаторе …
Варианты ответов
- периодическим включением и отключением тока
- переменным током
- колебанием магнита
Вопрос 23
Напряжения на обмотках трансформатора связаны соотношением U2<U1. Для мощностей тока верным является соотношение...
Варианты ответов
- P2< P1
- Р2 = P1
- P2> P1
Вопрос 24
При электросварке трансформатор применяют для повышения ...
Варианты ответов
- Мощности тока
- Силы тока
- Напряжения
Вопрос 25
В линиях электропередач трансформатор используют для повышения ...
Варианты ответов
- Мощности тока
- Силы тока
- Напряжения
Вопрос 26
Вокруг летящего магнита существует ... поле.
Варианты ответов
- только электрическое
- только магнитное
- электромагнитное
Вопрос 27
Вокруг летящей заряженной частицы существует ... поле.
Варианты ответов
- только электрическое
- только магнитное
- электромагнитное
Вопрос 28
Выберите правильные утверждения: электромагнитную волну можно вызвать а) изменяющимся электрическим полем, б) изменяющимся магнитным полем, в) постоянным магнитным полем, г) постоянным электрическим полем.
Варианты ответов
- а) и в)
- а) и б)
- б) и г)
- в) и г)
Вопрос 29
Выберите правильные утверждения: электро-магнитная волна представляет собой колебания а) заряженных частиц, б) электрического поля, в) магнитного поля.
Варианты ответов
- Только а)
- а) и б)
- б) и в)
Вопрос 30
В электромагнитной волне силовые линии электрического и магнитного полей лежат в ... плоскостях.
Варианты ответов
- перпендикулярных
- параллельных
- расположенных под углом 45° друг к другу
Вопрос 31
Скорость электромагнитной волны в вакууме ... 3*10^8 м/с.
Варианты ответов
- больше
- равна
- меньше
Вопрос 32
Клетки злокачественных опухолей разрушаются под действием ... излучения.
Варианты ответов
- инфракрасного
- ультрафиолетового
- рентгеновского
- видимого
Вопрос 33
Загар тела вызывается действием ... излучения.
Варианты ответов
- инфракрасного
- ультрафиолетового
- рентгеновского
- видимого
Вопрос 34
Тепловая энергия передается за счет ... излучения.
Варианты ответов
- инфракрасного
- ультрафиолетового
- рентгеновского
- видимого
Вопрос 35
Инфракрасное излучение создаётся ...
Варианты ответов
- торможением быстрых электронов
- колебаниями атомов и молекул
- при переходе электрона с одной оболочки атома в другую
Вопрос 36
Ультрафиолетовое излучение создаётся ...
Варианты ответов
- торможением быстрых электронов
- колебаниями атомов и молекул
- при переходе электрона с одной оболочки атома в другую
Вопрос 37
Рентгеновское излучение создаётся ...
Варианты ответов
- торможением быстрых электронов
- колебаниями атомов и молекул
- при переходе электрона с одной оболочки атома в другую
Вопрос 38
Участку I шкалы электромагнитных волн соответствует ... излучение.

Варианты ответов
- рентгеновское
- инфракрасное
- ультрафиолетовое
- видимое
Вопрос 39
Участку Il шкалы электромагнитных волн соответствует ... излучение.

Варианты ответов
- рентгеновское
- инфракрасное
- ультрафиолетовое
- видимое
Вопрос 40
Участку III шкалы электромагнитных волн соответствует ... излучение.

Варианты ответов
- рентгеновское
- инфракрасное
- ультрафиолетовое
- видимое
Вопрос 41
Участку IV шкалы электромагнитных волн соответствует ... излучение.

Варианты ответов
- рентгеновское
- инфракрасное
- ультрафиолетовое
- видимое
Вопрос 42
Электромагнитная волна распространяется сквозь ...
Варианты ответов
- металл
- диэлектрик
- металл и диэлектрик
Вопрос 43
На графике показаны колебания тока в антенне радиопередатчика. Расшифруйте двоичный код передаваемого сигнала.

Варианты ответов
- 010111
- 101011
- 101101
- 010101
Вопрос 44
Г. Герц для получения высокого напряжения использовал (рис.) в своей установке ...

Варианты ответов
- систему подвижных шаров
- резонатор
- повышающий трансформатор
Вопрос 45
Г. Герц использовал ... для приёма электромагнитной волны ( рис.)

Варианты ответов
- систему подвижных шаров
- резонатор
- повышающий трансформатор
Вопрос 46
Г. Герц для настройки установки (рис.) на передачу волны определённой чистоты использовал...

Варианты ответов
- систему подвижных шаров
- резонатор
- повышающий трансформатор
Вопрос 47
Радиоволна возникает при...
Варианты ответов
- излучении кварцевой лампы
- искровом разряде
- колебаниях магнита
Вопрос 48
Радиоволны не могут создаваться генераторами переменного тока, так как ...
Варианты ответов
- магнитное поле генератора создает помехи
- мощность генератора недостаточна
- частота вырабатываемого тока слишком низкая
Вопрос 49
N1, N2 -числа витков в катушках трансформатора; I1,I1 - силы токов , U1,U2 - напряжения на катушках. Какие формулы являются верными?

Варианты ответов
- А.
- Б.
- В.
- Г.


