Огэ 5
Гришина Надежда Дмитриевна
10.11.2022.
Тест. Математика, 9 класс
Тест содержит 14 заданий базового уровня и 3 задания повышенного уровня сложности
Система оценки:
5 балльная
Список вопросов теста
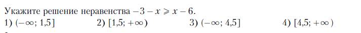
Вопрос 1

Вопрос 2

Вопрос 3

Вопрос 4

Вопрос 5

Вопрос 6

Вопрос 7

Вопрос 8

Вопрос 9

Вопрос 10

Вопрос 11

Вопрос 12

Вопрос 13

Вопрос 14

Вопрос 15

Если уравнение имеет два корня, то указать больший из них.
Вопрос 16

Вопрос 17

Получите комплекты видеоуроков + онлайн версии
Пройти тест
Сохранить у себя:
Тесты по математике 9 класс
0
511
Нравится
0


