1 Вариант ОГЭ
Самарина Светлана Дмитриевна
26.04.2020.
Тест. Алгебра, 9 класс
Тест состоит из 20 заданий, каждое задание оценивается в 1 балл. На выполнение работы отводится 80 минут
Система оценки:
5 балльная
Список вопросов теста
Вопрос 1

Вопрос 2
Найдите ширину окна в гостиной.
Варианты ответов
- 150
- 160
- 120
Вопрос 3


Вопрос 4


Вопрос 5


Вопрос 6

Вопрос 7

Вопрос 8

Вопрос 9

Варианты ответов
- 0.34
- 0,66
- 0,3
- 0,7
Вопрос 10

Вопрос 11

Вопрос 12

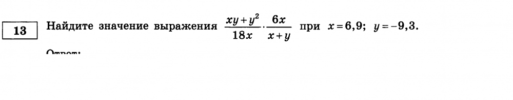
Вопрос 13

Вопрос 14

Вопрос 15

Вопрос 16

Вопрос 17

Вопрос 18

Вопрос 19

Вопрос 20

Получите комплекты видеоуроков + онлайн версии
Пройти тест
Сохранить у себя:
Тесты по алгебре 9 класс
0
374
Нравится
0


