Одночлен
Список вопросов теста
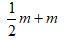
Вопрос 1
Выполните сложение одночленов:
Варианты ответов
Вопрос 2
Возведите одночлен в степень:(-3m3n3)
Варианты ответов
-
-27m9n3
-
-3m3n3
-
27m6n3
Вопрос 3
Выполните деление одночленов:(-7.7abc);0.7c
Варианты ответов
- -11ab
- 11ab
- 11
Вопрос 4
Определите степени одночленов.
1.
8
2.
2
3.
15
4.
1
5.
0
Варианты ответов
- 72ab
-
0.5x3y2z2
-
-2.5m7n5p3
-
7
-
5a
Вопрос 5
Выполните вычитание одночленов:23y7-13y7-y7
Варианты ответов
-
9y7
-
y7
-
10y7
-
9
Вопрос 6
Замените знак * таким одночленом, чтобы выполнялось верное равенство:
Варианты ответов
Вопрос 7
Среди одночленов, укажите одночлены стандартного вида.
Варианты ответов
Вопрос 8
Выберите одночлены, которые являются подобными.
Варианты ответов
Вопрос 9
Выполните умножение одночленов:
Варианты ответов
Вопрос 10
Из указанных выражений выбрать те, которые являются одночленами.
Варианты ответов
-

-
5-x
-

-

-
50
-
x
-
7:3a














