Обобщение по языку программирования Pascal (повторение)
Список вопросов теста
Вопрос 1
Выберите из предложенных вариантов те, которые можно использовать в качестве имен переменных.
Варианты ответов
- 253
- ’253’
- 2а
- а2
- integer
- sum
Вопрос 2
После выполнения каких из указанных ниже последовательностей команд значения величин х и у поменяются, т.е. х примет значение у, а у – значение х? В ответе указать букву правильного варианта.

Вопрос 3
Что будет выдано в качестве результата, после выполнения алгоритма?

Варианты ответов
- 8
- 5
- 3
- 0
- 1
Вопрос 4
Какая запись арифметического выражения соответствует формуле?

Варианты ответов
- (A*A+B*B)*C/P/(E*E+Q);
- (A*A+B*B)/1/C+(P/E*E+P/Q);
- A*A+B*B/ (1/C+P/(E*E+Q));
- (A*A+B*B)/ (1/C+P/(E*E+Q));
Вопрос 5
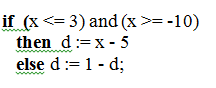
Чему будет равно значение величины d после выполнения приведенного ниже алгоритма при x = -5, d = 0?

Варианты ответов
- 9
- -10
- 6
- 1
- 11
Вопрос 6
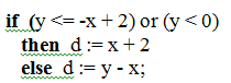
Чему будет равно значение величины d после выполнения приведенного ниже алгоритма при x = 2, y = 0?

Варианты ответов
- -1
- 2
- -2
- 4
- 0
Вопрос 7
Что будет выведено, когда при выполнении алгоритма, записанного ниже, k станет равным 3?

Варианты ответов
- 3 20
- 3 7
- 3 12
- 3 10
Вопрос 8
Какое значение с будет получено в результате исполнения данного алгоритма?

Варианты ответов
- 1
- 7
- 3
- 6
Вопрос 9
Даны две строковые величины А:=’баран’ и С:=’барабан’? Какая из них больше?
Варианты ответов
- А
- С
- строковые величины сравнить нельзя
Вопрос 10
Какой длины могут быть строковые константы?
Варианты ответов
- до 80 символов
- до 255 символов
- любой длины
- до 15 символов
Вопрос 11
Дана строковая величина С:=’абвгде’. Чему будет равно значение величины В, полученной в результате исполнения команды copy(С, 2, 5)?
Варианты ответов
- де
- бвгде
- бвгд
- абвгд
Вопрос 12
Одинаковыми ли будут результаты выполнения операций А + В и В + А, где А и В – строковые величины.
Варианты ответов
- да
- нет
Вопрос 13
Результатами выполнения операций:
15 div 8= , 23 div 2= , 16 mod 4 = , 35 mod 4=
будут числа:
Варианты ответов
- 1, 11, 0, 8
- 1, 11, 0, 3
- 7, 11, 4, 3
- 1, 1, 0, 8
Вопрос 14
Найдите значение выражения:
abs(27-49) + round(2.6) - sqr(4).
Варианты ответов
- -3
- 8
- 9
- -4
Вопрос 15
Что будет выведено на экран в результате выполнения следующей программы:

Вопрос 16



