Объём пирамиды
Список вопросов теста
Вопрос 1
Как изменится объём правильной пирамиды, если сторона основания не изменится, а высота уменьшится в 4 раза.
Варианты ответов
- увеличится в 2 раза
- увеличится в 4 раза
- уменьшится в 4 раза
Вопрос 2
Большим диагональным сечением правильной шестиугольной пирамиды является равносторонний треугольник, сторона которого равна 10м. Вычисли объём пирамиды. В ответ запиши только число без единиц измерения. Если получится дробное число, то записать его десятичной дробью, отделяя целую часть от дробной запятой. Например, 4,6
Вопрос 3
Вычисли объём правильной усечённой треугольной пирамиды, если стороны её оснований равны 8 см и 12 см, а перпендикуляр, который соединяет основания, равен 9√3 см. В ответ запишите только число, без указания единиц измерения. Например, 6
Вопрос 4
Высота треугольной пирамиды равна 2 см, а площадь основания равна 24 см2. Вычислите объем пирамиды. В ответ запишите только число без единиц измерения, например, 5
Вопрос 5
Выберите верное утверждение
Варианты ответов
- Объем пирамиды равен одной трети произведения площади основания на высоту.
- Объем пирамиды равен произведению площади основания на высоту.
- Объем пирамиды равен одной трети произведения периметра основания на высоту.
- Объем пирамиды равен произведению периметра основания на высоту.
Вопрос 6
Выберите верное утверждение:
Варианты ответов
-
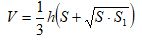
Объём усеченной пирамиды, высота которой равна h, а площадь оснований равны S и S1, вычисляется по формуле:

-
Объём усеченной пирамиды, высота которой равна h, а площадь оснований равны S и S1, вычисляется по формуле:

-
Объём усеченной пирамиды, высота которой равна h, а площадь оснований равны S и S1, вычисляется по формуле:

Вопрос 7
В правильной шестиугольной пирамиде сторона основания равна 2 см, объем пирамиды равен 6 см3. Чему равна высота пирамиды?
Варианты ответов
Вопрос 8
Объем пирамиды равен 56 см3, а площадь основания равна 14 см2. Чему равна высота пирамиды?
Варианты ответов
- 14 см
- 12 см
- 16 см
Вопрос 9
В правильной треугольной пирамиде высота равна 5 см, стороны основания равны 3 см. Чему равен объем пирамиды?
Варианты ответов
Вопрос 10
Объем правильной четырехугольной пирамиды равен 27 см3, высота равна 9 см. Найдите сторону основания.
Варианты ответов
- 12 см
- 9 см
- 3 см












Здравствуйте, Салминаз. Благодарим за сотрудничество. Укажите, пожалуйста, какие вопросы и ответы являются некорректными. Мы обязательно все проверим.
Здравствуйте, в двух заданиях не указан верный ответ, а в одном задании опечатка: высота равна не 93корень из 3, а 9 корень из 3