Объём конуса
Список вопросов теста
Вопрос 1
Как изменится объём конуса, если радиус основания не изменится, а высота уменьшится в 4 раза.
Варианты ответов
- увеличится в 2 раза
- увеличится в 4 раза
- уменьшится в 2 раза
- уменьшится в 4 раза
Вопрос 2
Выберите верное утверждение
Варианты ответов
- Объем конуса равен одной трети произведения площади основания на высоту.
- Объем конуса равен произведению площади основания на высоту.
- Объем конуса равен одной трети произведения длины окружности на высоту.
Вопрос 3
Выберите верное утверждение:
Варианты ответов
-
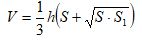
Объём усеченного конуса, высота которого равна h, а площадь оснований равны S и S1, вычисляется по формуле:

-
Объём усеченного конуса, высота которого равна h, а площадь оснований равны S и S1, вычисляется по формуле:

-
Объём усеченного конуса, высота которого равна h, а площадь оснований равны S и S1, вычисляется по формуле:

Вопрос 4
Радиус основания конуса равен 3 см, высота конуса равна 4 см. Вычислите объем конуса. В ответ запишите 
Вопрос 5
Цилиндр и конус имеют общее основание и общую высоту. Вычисли объём конуса, если объём цилиндра равен 27.
Вопрос 6
Длина окружности основания конуса равна 20π см, высота конуса равна 5,7см. Вычислить объём конуса.
Варианты ответов
- 570π см3
- 57π см3
- 190π см3
- 19π см3
Вопрос 7
Высота конуса равна 5 см. На расстоянии 2 см от вершины его пересекает плоскость, параллельная основанию. Найти объём исходного конуса, если объём меньшего конуса, отсекаемого от исходного, равен 24 см2.
Вопрос 8
Радиусы оснований усеченного конуса равны 3 см и 6 см, а образующая конуса равна 5 см. Найти объем усеченного конуса.
Варианты ответов
Вопрос 9
Радиусы оснований усечённого конуса соответственно равны 14 см и 8 см, а высота равна 9 см. Вычисли объём конуса. В ответ запиши только коэффициент перед
. Например, если объем равен 3
, то в ответ запишите 3
Вопрос 10
Площади оснований усеченного конуса 4π см2 и 9π см2 ;
объем равен
.
Вычислить высоту усеченного конуса. В ответ запишите только число без единиц измерения.








