Объемы тел
Список вопросов теста
Вопрос 1
С чем можно связать понятие объёма?
Варианты ответов
- Ёмкость (для сосудов)
- Вместимость
- Размер (упаковки, тары, сосуда и т.п.)
- Масса (упаковки, тары, сосуда и т.п.)
Вопрос 2
В каких единицах измеряется объём?
Варианты ответов
- В метрах квадратных
- В литрах
- В миллилитрах
- В кубометрах
- В гектарах
Вопрос 3
Назовите, в какой последовательности представлены формулы: V=a3, V=abc, V=Sосн.h, V=Пr2h.
Варианты ответов
- Формулы объёмов: куба, цилиндра, прямого параллелепипеда, призмы.
- Формулы объёмов: куба, прямого параллелепипеда, цилиндра, призмы.
- Формулы объёмов: цилиндра, прямого параллелепипеда, куба, призмы.
- Формулы объёмов: куба, прямоугольного параллелепипеда, призмы, цилиндра,.
Вопрос 4
Чему равен объём куба с ребром 5 см?
Варианты ответов
- 15 кубических сантиметров.
- 125 кубических сантиметров.
- 25 кубических сантиметров.
- 300 кубических сантиметров.
Вопрос 5
Чему равен объём прямоугольного параллелепипеда с измерениями 1 м, 2 м и 3 м?
Варианты ответов
- 6 метров кубических
- 6 сантиметров кубических
- 12 метров кубических
- 216 метров кубических
Вопрос 6
Чему равен объём прямой пирамиды, в основании которой лежит ромб с диагоналями 10 дм и 24 дм, а высота пирамиды - 80 см.
Варианты ответов
- 960 кубических дециметров.
- 320 кубических дециметров.
- 320 кубических сантиметров.
- 450 кубических дециметров.
Вопрос 7
Цилиндр и конус имеет одинаковые основания и высоты. Какое из следующих утверждений верное?
Варианты ответов
- Объём цилиндра в 2 раза больше объёма конуса.
- Объём цилиндра в 6 раз больше объёма конуса.
- Объём конуса в 3 раза больше объёма конуса.
- Объём цилиндра в 3 раза больше объёма конуса.
- Нет правильного ответа.
Вопрос 8
Диаметр основания прямого цилиндра равен 6 см, а высота 10 см. Найдите объём. (В ответе сохраните число П)
Варианты ответов
- 90П сантиметров кубических
- 360П сантиметров кубических
- 9П дециметров кубических
- 36П дециметров кубических
Вопрос 9
В правильной четырехугольной пирамиде высота равна 6 см, а сторона основания 3 см. Найдите объем. В отет запишите число без наименований, например, 22
Вопрос 10
Высота треугольной пирамиды равна 2 см, а площадь основания равна 24 см2. Вычислите объем пирамиды. В ответ запишите только число без единиц измерения, например, 5
Вопрос 11
Выберите верное утверждение
Варианты ответов
- Объем пирамиды равен одной трети произведения площади основания на высоту.
- Объем пирамиды равен произведению площади основания на высоту.
- Объем пирамиды равен одной трети произведения периметра основания на высоту.
- Объем пирамиды равен произведению периметра основания на высоту.
Вопрос 12
В правильной треугольной пирамиде высота равна 10 см, стороны основания равны 3 см. Чему равен объем пирамиды?
Варианты ответов
Вопрос 13
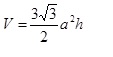
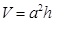
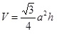
Составьте верное соответствие между правильными n-угольными призмами, со стороной a и высотой h и формулами для вычисления их объёма.
1.

2.

3.

Варианты ответов
- Правильная треугольная призма
- Правильная четырехугольная призма
- Правильная шестиугольная призма
Вопрос 14
Найдите объем конуса, если его высота равна 6, а радиус основания 4. В ответе сохраните П.
Варианты ответов
- 32П
- 80П
- 48П
Вопрос 15
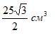
Найдите объем шара, если радиус равен 3.
Варианты ответов
- 36П
- 48П
- 12П




