Объекты алгоритмов. Выражения
Автор скрыт
25.03.2020.
Тест. Информатика, 8 класс
Будьте внимательны! У Вас есть 10 минут на прохождение теста. Система оценивания - 5 балльная. Разбалловка теста - 3,4,5 баллов, в зависимости от сложности вопроса. Порядок заданий и вариантов ответов в тесте случайный. С допущенными ошибками и верными ответами можно будет ознакомиться после прохождения теста. Удачи!
Система оценки:
5 балльная
Список вопросов теста
Вопрос 1
Выражение - это
Варианты ответов
- языковая конструкция для поиска значений с помощью операндов.
- языковая конструкция для задания значений с помощью операндов.
- языковая конструкция для поиска значений с помощью переменных.
Вопрос 2
Какие величины могут включать выражения?
Варианты ответов
- Константы.
- Переменные.
- Функции.
- Литерные величины.
- Символьные величины.
Вопрос 3
Укажите порядок выполнения операций в выражении
Варианты ответов
- Вычисляются выражения в скобках.
- Вычисляются функции.
- Выполняется сложение и вычитание.
- Выполняется умножение и деление.
Вопрос 4
Какие бывают виды выражений?
Варианты ответов
- Арифметические
- Логические
- Строковые
- Переменные
- Функции
Вопрос 5
Какое выражение называются арифметическими?
Варианты ответов
- последовательность числовых констант, переменных, математических функций, соединённых знаками арифметических операций и круглыми скобками.
- последовательность символьных переменных, математических функций, соединённых знаками арифметических операций и круглыми скобками.
- последовательность числовых констант, переменных, математических функций, перечисленных через точку с запятой.
Вопрос 6
Как в алгоритмах обозначается √х?
Варианты ответов
- sqrt(x)
- abc(x)
- sqr(x)
Вопрос 7
Какое выражение называется логическим?
Варианты ответов
- выражение, которое описывает некоторые условия, которые могут удовлетворяться или не удовлетворяться.
- выражение, которое определяет некоторые условия.
- последовательность числовых констант, переменных, математических функций, соединённых знаками арифметических операций и круглыми скобками.
Вопрос 8
Какие выражения называются строковыми?
Варианты ответов
- выражения, которые состоят из величин (констант, переменных) символьного и литерного типов, соответствующих функций и операций сцепления (присоединения).
- выражения, которые состоят из констант, переменных любого типа, соответствующих функций и операций сцепления (присоединения).
- выражения, которые состоят из величин (констант, переменных) символьного типа, соответствующих функций и операций сцепления (присоединения).
Вопрос 9
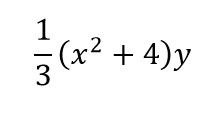
Какая запись соответствует записи на алгоритмическом языке данного выражения.

Варианты ответов
- 1 / 3 * (x^2 + 4) y
- 1 / 3 (x^2 + 4) * y
- 1 / 3 * (sqrx + 4) * y
- 1 / 3 * (sqrtx + 4) * y
Вопрос 10
На каком промежутке принимает истинное значение данное логическое выражение: (x>5) и (x<9)
Варианты ответов
- (5; 8)
- [5; 8]
- (5; 8]
- [5; 8)
Получите комплекты видеоуроков + онлайн версии
Пройти тест
Сохранить у себя:
Тесты по информатике 8 класс
0
4332
Нравится
0


