Неравенства
Автор скрыт
23.10.2022.
Тест. Алгебра, 9 класс
Числовые неравенства, свойства неравенств, решение линейных неравенств и систем
Система оценки:
5 балльная
Список вопросов теста
Вопрос 1
Сравните числа a и b, если a - b = 3,6
Варианты ответов
- a > b
- a < b
- a = b
- сравнить невозможно
Вопрос 2
Известно, что m > n. Какие из утверждений верны?
Варианты ответов
- m - 2 > n -2
- m + 2 < n + 2
- - 2m < - 2n
- 2m < 2n
Вопрос 3
Оцените периметр P равностороннего треугольника со стороной a, если 0,5 < a < 0,6.
Варианты ответов
- 1,6 < P < 2,4
- 1,5 < P < 1,8
- 1,5 < P < 18
- 0,5 < P < 0,6
Вопрос 4
Известно, что a > 0 и b < 0. Какие из данных неравенств могут быть правильными?
Варианты ответов
- a/b > 1
- a * b < 0
- a - b < 0
- b - a < 0
Вопрос 5
Найдите решение неравенства
\(-\frac{x}{30}<\frac{1}{5}\)
Варианты ответов
- x > 6
- x = 6
- x < 6
- x < 0
- x > -6
- x < -6
Вопрос 6
Множеством решений какого неравенства является промежуток \(\left(3;+\infty\right)\)
Варианты ответов
- x <> 3
- x < 3
- x > 3
- x >= 3
- x <= 3
Вопрос 7
Найдите наибольшее целое решение неравенства -3x + 8 > 5
Вопрос 8
Чему равно произведение натуральных чисел, принадлежащих области определения выражения \(\sqrt{12-3x}\) ?
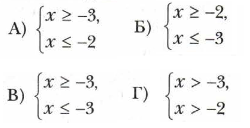
Вопрос 9
Какая из данных систем неравенств не имеет решений?

Варианты ответов
- А
- Б
- В
- Г
Получите комплекты видеоуроков + онлайн версии
Пройти тест
Сохранить у себя:
Тесты по алгебре 9 класс
0
184
Нравится
0


