Неопределенный интеграл
Список вопросов теста
Вопрос 1
Нахождение производных и нахождение неопределенных интегралов (дифференцирование и интегрирование) – это два взаимно обратных действия, как, например, сложение/вычитание или умножение/деление. Давайте повторим нахождение производной.
Найдите производную данной функции

Варианты ответов
-
5х4-12х2+4х-7
-
5х-3х3+2х2-7х
-
5х-12х+2х-7х
Вопрос 2
Определение первообразной и неопределенного интеграла
Функция F(x) называется первообразной функции f(x), еслиF′(x)=f(x).
Правило 1. Первообразная суммы равна сумме первообразных. F(x+y)=F(x)+F(y)
Найти первообразную для функции y=4x3+cos(x)
Варианты ответов
-
5x4+cos(x)
-
x4+sin(x)
-
12х3-sin(x)
Вопрос 3
Правило 2. Если F(x) – первообразная для f(x), то k∗F(x) – первообразная для функции k∗f(x). (Коэффициент можем выносить за функцию).
Найдите первообразную
y=7sin(x)
Варианты ответов
-
−7cos(x)
-
7cos(x)
-
-7sin(x)
-
−cos(7x)
Вопрос 4
Правило 3. Если у=F(x)- первообразная для функции y=f(x), то первообразная для функции y=f(kx+m) служит функция y= 1/k ∗F(kx+m).
Найти первообразную.
y=cos(7x).
Варианты ответов
-
1/7∗cos(7x)
-
7 ∗sin(7x)
-
1/7 ∗sin(7x)
Вопрос 5
Нетрудно заметить, что любой табличный интеграл (да и вообще любой неопределенный интеграл) имеет вид:
Разбираемся в обозначениях и терминах:
– значок интеграла.
– подынтегральная функция.
– значок дифференциала. При записи интеграла и в ходе решения важно не терять данный значок. Заметный недочет будет.
– подынтегральное выражение или «начинка» интеграла.
– первообразная функия.
– множество первообразных функций. Не нужно сильно загружаться терминами, самое важное, что в любом неопределенном интеграле к ответу приплюсовывается константа
.
--------
Возьмем, например, табличный интеграл
. Что произошло?
превратился в функцию ....
Варианты ответов
-
cos х + C
-
-cos х + С
-
-sin х + С
-
sin х + С
Вопрос 6
Когда мы находим неопределенный интеграл, то всегда стараемся сделать проверку
Найти неопределенный интеграл. Выполнить проверку.

Решение: Анализируя интеграл, мы видим, что у нас произведение двух функций, да еще и возведение в степень целого выражения. К сожалению, нет хороших и удобных формул для интегрирования произведения и частного
,
.
А поэтому, когда дано произведение или частное, всегда имеет смысл посмотреть, а нельзя ли преобразовать подынтегральную функцию в сумму?
1) Используем формулу квадрата суммы
, избавляясь от степени.
2) Вносим
в скобку, избавляясь от произведения.
Дальше сами
Варианты ответов
-
3х3+6x4+16/5 x5+C
-
9х2+24x3+16 x4+C
-
3х3+6x4+16/5 x5
-
9х2+24x3+16 x4
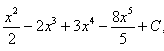
Вопрос 7
Найти неопределенный интеграл. Выполнить проверку.

Варианты ответов
Вопрос 8
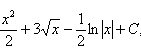
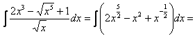
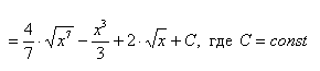
Найти неопределенный интеграл. Выполнить проверку.

В данном примере подынтегральная функция представляет собой дробь. Когда мы видим в подынтегральном выражении дробь, то первой мыслью должен быть вопрос: А нельзя ли как-нибудь от этой дроби избавиться, или хотя бы её упростить?
Замечаем, что в знаменателе находится одинокий корень из «икс». А значит, можно почленно разделить числитель на знаменатель:
Варианты ответов
Вопрос 9
Чему равен неопределенный интеграл от нуля?
Варианты ответов
- 0
- 1
- С
- х
Вопрос 10
Чему равен неопределенный интеграл от 1?
Варианты ответов
- х+С
- С
- 1+С
- 0
Вопрос 11
Чему равен неопределенный интеграл sin(x) ?
Варианты ответов
- -cos(x)+C
- cos(x)+C
- tg(x)+C;
- arcsin(x)+C


