Неопределенный интеграл
Список вопросов теста
Вопрос 1
Неопределенный интеграл от функции - это
Варианты ответов
- одна первообразная функции
- совокупность всех дифференциалов функции
- площадь криволинейной трапеции, ограниченной графиком функции, осью абсцисс и еще двумя прямыми
- совокупность всех первообразных функции
Вопрос 2
Функция F(х) называется первообразной функцией для функции f(x) на
промежутке X, если…
Варианты ответов
- хотя бы в одной точке х этого промежутка F '(x) = f(x)
- если в каждой точке х этого промежутка F '(x) = f(x)
- хотя бы в одной точке х этого промежутка f '(x) = F(x)
- если в каждой точке х этого промежутка f '(x) = F(x)
Вопрос 3

Варианты ответов
Вопрос 4

Варианты ответов
Вопрос 5

Варианты ответов
-

-

-

- нет верного ответа
Вопрос 6

Варианты ответов
Вопрос 7
Что называется интегрированием?
Варианты ответов
- операция нахождения интеграла
- преобразование выражения с интегралами
- операция нахождения производной
- предел приращения функции к приращению её аргумента
Вопрос 8
Чему равен неопределенный интеграл от 0
Варианты ответов
- 0
- const c
- 1
- x
Вопрос 9
Когда применяется метод интегрирования неопределенных интегралов по частям?
Варианты ответов
- функция имеет квадратный корень
- функция степенная
- когда подынтегральное выражение содержит множители функций ln(x); arccos(x); arcsin (x)
- функция гиперболическая
Вопрос 10
Чему равен неопределенный интеграл от 1?
Варианты ответов
- x+C
- 1+C
- x
- const C
Вопрос 11
Чему равен неопределенный интеграл sin(x) ?
Варианты ответов
- -cos(x)+C
- cos(x)+C
- tg(x)+C
- arcsin(x)+C
Вопрос 12
Для чего используют метод замены переменной (метод подстановки) интеграла?
Варианты ответов
- свести исходный интеграл к более простому с помощью перехода от старой переменной интегрирования к новой переменной
- просто необходимо выполнить какие-нибудь преобразования
- для усложнения подынтегральной функции
- для того, чтобы потом можно было бы использовать метод Римана
Вопрос 13

Варианты ответов
Вопрос 14

Варианты ответов
- Да, является
- Нет, не является
- Иногда
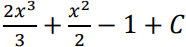
Вопрос 15

Варианты ответов
-
+С -
+С -
+С
Вопрос 16

Варианты ответов
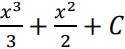
Вопрос 17

Варианты ответов
-
+С -
+С -
+С
Вопрос 18

Варианты ответов
- интегрированием
- дифференцированием
- потенцированием
Вопрос 19

Варианты ответов
Вопрос 20
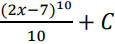
Установите соответствие между неопределенными интегралами и соответствующей им совокупностью первообразных
1.

2.

3.

4.

5.




















+С
+С
+С


+С
+С
+С









