Молекулярное строение вещества, газы
Список вопросов теста
Вопрос 1
Сопоставьте формулы с названиями величин, которые с их помощью находятся.
1.
2.
3.
4.
5.
Варианты ответов
- первый закон термодинамики
- основное уравнение МКТ
- взаимосвязь давления газа с его температурой
- уравнения Менделеева-Клапейрона идеального газа
- внутренняя энергия идеального газа
Вопрос 2
Основные положения молекулярно-кинетической теории:
(3)
Варианты ответов
- Вещество состоит из частиц (молекул, атомов)
- Частицы веществ беспорядочно движутся
- Частицы веществ взаимодействуют друг с другом
- Частицы веществ упорядоченно движутся
- Частицы веществ не взаимодействуют друг с другом
- Вещество состоит из протонов, нейтронов, электронов
Вопрос 3
Для перевода значения температуры из шкалы Цельсия в шкалу Кельвина необходимо к температуре в градусах °C прибавить ... градуса
(укажите пропущенное число)
Вопрос 4
Сопоставьте величины с единицами их измерения.
1.
Дж
2.
кг/моль
3.
1/м3
4.
м3
5.
К
6.
кг
7.
Па
Варианты ответов
- работа газа
- молярная масса
- концентрация молекул в единице объема
- объем газа
- абсолютная температура
- масса
- количество теплоты
- внутренняя энергия
- давление
Вопрос 5
Одноатомный газ, взаимодействие между молекулами которого пренебрежимо мало - это
Варианты ответов
- идеальный газ
- изолированный газ
- реальный газ
- сжатый газ
- разреженный газ
Вопрос 6
где V - объем газа (м3), m - масса газа (кг), М - молярная масса газа (кг/моль), R - ...
Варианты ответов
- универсальная газовая постоянная
- постоянная Больцмана
- концентрация молекул в единице объема
- среднеквадратичная скорость молекул
- давление газа
- объём газа
- температура газа
Вопрос 7
где k - ...
Варианты ответов
- универсальная газовая постоянная
- постоянная Больцмана
- концентрация молекул в единице объема
- среднеквадратичная скорость молекул
- давление газа
- объём газа
- температура газа
Вопрос 8
Сопоставьте величины с их обозначениями.
1.
работа газа
2.
молярная масса
3.
концентрация молекул в единице объема
4.
объем газа
5.
абсолютная температура
Варианты ответов
- А
- M
- n
- V
- T
Вопрос 9
Сопоставьте величины с их обозначениями.
1.
масса
2.
количество теплоты
3.
давление
4.
внутренняя энергия
5.
количество вещества
Варианты ответов
- m
- Q
- U
-
P
-
Вопрос 10
Процесс, при котором один из макроскопических параметров определенной массы газа остаётся неизменным в течение всего процесса (давление (Р) или температура (Т) или объем(V)) - это ...
(введите пропущенное слово)
Вопрос 11
Характеристики изотермического процесса (закон Бойля-Мариотта):
(3 верных)
Варианты ответов
- T = const
- PV = const
-
-
Р = const
-
V ~ T
-
-
Вопрос 12
Характеристики изобарного процесса (закон Гей-Люссака):
(3 верных)
Варианты ответов
- T = const
- PV = const
-
-
Р = const
-
V ~ T
-
-
Вопрос 13
Характеристики изохорного процесса (закон Шарля):
(3 верных)
Варианты ответов
- T = const
- PV = const
-
V = const
-
Р = const
-
Р ~ T
-
-
Вопрос 14
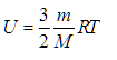
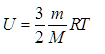
где m - масса (кг), М - молярная масса (кг/моль), R - универсальная газовая постоянная, Т- температура ид. газа (К), U - внутренняя ... идеального газа.
(наберите пропущенное слово)
Вопрос 15
Все процессы самопроизвольно протекают в одном определенном необратимом направлении: тепло всегда переходит от горячего тела к холодному, а механическая энергия тел в их внутреннюю энергию - это ...
Варианты ответов
- второй закон термодинамики
- испарение
- кипение
- первый закон термодинамики
- конденсация
Вопрос 16
Процесс парообразования, происходящий с поверхности жидкости - это ...
Варианты ответов
- второй закон термодинамики
- испарение
- кипение
- первый закон термодинамики
- конденсация
Вопрос 17
Процесс парообразования, происходящий по всему объему жидкости, температура которого прямопропорционально зависит от величины внешнего давления - это ...
Варианты ответов
- второй закон термодинамики
- испарение
- кипение
- первый закон термодинамики
- конденсация
Вопрос 18
Скорость испарения зависит от:
(5 верных)
Варианты ответов
- площади поверхности жидкости
- температуры
- наличия ветра
- рода жидкости
- объема жидкости
- массы жидкости
- относительной влажности воздуха
- атмосферного давления
Вопрос 19
где рн.п.- давление насыщенного пара при той же температуре (Па), p - ... давление паров воды в воздухе (Па), а φ относительная влажность воздуха (%).
Вопрос 20
Сопоставьте формулы с их обозначениями
1.
2.
3.
Варианты ответов
- КПД теплового двигателя, находимая с учетом полезной работы и количества теплоты сгораемого топлива
- КПД теплового двигателя, находимая с учетом количеств теплоты нагревателя и холодильника
- КПД теплового двигателя, находимая с учетом температур нагревателя и холодильника


