Многочлены. Стандартный вид многочлена
Чупина Алена Викторовна
19.11.2020.
Тест. Алгебра, 7 класс
Проверка знаний по теме Многочлен. Прочитайте параграф 8 прежде чем отвечать на вопросы
Система оценки:
5 балльная
Список вопросов теста
Вопрос 1
Сумму одночленов называют ....
Вопрос 2
Слагаемые - одночлены, из которых состоит многочлен, называются
Вопрос 3
Многочлен, в котором два слагаемых называется .....
Вопрос 4
Многочлен в котором три слагаемых, называется...
Вопрос 5
Сложение подобных одночленов в многочлене называется ....
Вопрос 6
Многочлен, все члены которого записаны в стандартном виде и приведены подобные, записан в ....
Вопрос 7
Наибольшую из степеней одночлено, из которых многочлен составлен называют ....
Вопрос 8
Многочлены также называются ....
Вопрос 9
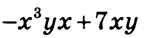
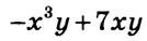
Укажите многочлен стандартного вида.
Варианты ответов
Вопрос 10
6
Варианты ответов
- 6
- 5
- 7
Вопрос 11

Варианты ответов
Получите комплекты видеоуроков + онлайн версии
Пройти тест
Сохранить у себя:
Тесты по алгебре 7 класс
0
211
Нравится
0









